- 收藏
- 加入书签
“ 内卷” 与“ 躺平” 之间:当代大学生的精神困境与思政课的价值引领作用探析
摘要:在高度竞争的社会环境下,“ 内卷” 与“ 躺平” 成为当代大学生群体中的典型心态表征,折射出青年在价值认同、发展焦虑与意义追寻中的深层困境。高校思想政治理论课(以下简称“ 思政课” )作为落实立德树人根本任务的关键课程,急需回应青年精神世界的时代之问。本文从大学生视角出发,分析“ 内卷” 与“ 躺平” 背后的成因及表现,探讨思政课在破解这一困境中的价值引领作用,旨在为高校思政教育创新提供思路。
关键词:内卷;躺平;思政课
一、当代大学生的精神困境:内卷与躺平的双重拉扯
(一)“ 内卷” :无意义的过度竞争
“ 内卷” 一词源于社会学研究,在大学生群体中表现为无意义的内耗式竞争,课堂上的绩点焦虑、实习中的简历美化内卷、考研时的报录比恐慌等等,学生为了在有限资源中争夺优势,被迫投入远超必要的时间和精力,却难以获得对应的价值感。这种竞争模式下,大学生逐渐陷入努力即正义的迷思,忽视了自身兴趣与成长的本质。
(二)“ 躺平” :无奈之下的消极抵抗
与“ 内卷” 相对,“ 躺平” 成为部分大学生的消极选择。当努力似乎无法改变竞争格局,当 996、内卷化成为社会常态的隐喻,一些学生选择放弃过度追求,以低欲望、不竞争应对压力。这种态度背后,是对现实压力的无奈,也是青年群体在价值迷失中的短暂逃避,既不愿被内卷裹挟,又找不到更积极的突围路径。
(三)双重困境的本质:价值坐标的模糊
无论是内卷的盲目追逐,还是躺平的消极放弃,本质上都反映了当代大学生价值坐标的模糊。在多元文化冲击和功利主义思潮影响下,部分学生将成功简单等同于分数、学历或薪资,忽视了个体价值与社会价值的统一,陷入为竞争而竞争或因逃避而停滞的精神闭环。
二、思政课破解精神困境的价值逻辑
思政课作为立德树人的关键课程,其核心任务是引导学生树立正确的世界观、人生观、价值观。在破解内卷与躺平困境中,思政课的价值引领作用体现在三个层面:
(一)重构价值认知:从单一成功到多元成长
思政课通过马克思主义世界观的教育,帮助学生理解人的价值在于创造价值的本质。例如,通过劳动创造价值的理论讲解,结合大国工匠、基层奉献者的案例,引导学生认识到:成功并非只有名校光环、高薪职业一条路径,在平凡岗位上的坚守、为社会进步的付出,都是值得肯定的价值实现方式。这种认知重构,能打破“ 内卷” 背后的单一评价体系,为学生提供多元成长的坐标。思政课通过系统的理论教学与案例分析,引导大学生重新审视成功的内涵。它强调人生价值的多元性,既肯定个人奋斗的意义,也倡导超越物质功利的精神追求,通过解读马克思主义关于人的全面发展理论,思政课帮助学生认识到,真正的成长不在于打败他人,而在于成为自己,从而跳出内卷化竞争的单一评价框架。
(二)培育理性心态:在竞争中保持从容
思政课中的辩证思维教育,有助于学生客观看待竞争与压力。通过分析主要矛盾与次要矛盾、量变与质变等原理,引导学生区分必要努力与过度内耗之间的区别,既不否认竞争的必然性,也不盲从无意义的内卷;既要接纳暂时的挫折,也不陷入躺平的消极循环。例如,在《思想道德与法治课程》中,结合对合理利己主义的批判,帮助学生平衡个人诉求与社会需求,在理性竞争中保持心理弹性。面对内卷与躺平带来的心理困境,思政课并非简单地喊口号,而是通过心理健康教育、社会现实分析等内容,帮助大学生建立理性的抗压心态与抗压能力。它引导学生正视竞争压力的客观存在,同时学会如何区分合理努力与过度内耗,在坚持与妥协之间找到平衡。
(三)锚定社会坐标:从个体焦虑到时代担当
思政课的重要使命是引导学生将个人成长与国家发展相连。通过《习近平新时代中国特色社会主义思想概论》等课程,展现国家发展的历史脉络与时代需求,让学生认识到:当代青年的价值实现始终与民族复兴的进程紧密相关。当学生将个人理想融入中国梦的实践中,便会超越“ 内卷”的短期焦虑,摆脱“ 躺平” 的个体虚无,在服务社会中找到更持久的精神
动力。思政课的核心价值是将个人命运与国家发展与民族复兴相结合。在“ 内卷” 与“ 躺平” 的纠结中,大学生往往局限于个人利益的得失,而思政课通过讲述中国发展的历史脉络、时代使命,帮助他们跳出个人视角,看到青年一代的社会担当。从脱贫攻坚中的青年志愿者到科研领域的青年攻坚团队,这些鲜活的案例让学生意识到,个人的价值实现从来都与时代需求紧密相连的。当大学生将个人理想融入国家建设的洪流,便会在更广阔的视野中找到奋斗的意义,从而以积极的姿态代替消极的“ 躺平” ,以有方向的努力代替盲目的“ 内卷” 。
三、思政课发挥引领作用的实践路径
(一)内容创新:贴近学生生活,回应现实困惑
思政课应避免空泛说教,主动回应“ 内卷” “ 躺平” 等学生关心的话题。例如,在课堂中设置青年成长对话环节,结合真实案例去讨论如何定义有意义的努力,用客观现象去反思当代青年的责任与逃避。同时,思政课内容要紧扣时代脉搏融入鲜活素材,要用具体实据真实故事诠释理论内涵,让学生感受到思政课与时代共振,要链接学生生活,强化现实关照,结合大学生关注的成长议题去用思政理论分析生活中的现象,讨论“ 内卷与躺平” 要引导大学生理解个人价值与社会价值的统一,让理论贴合实际,要挖掘多元资源,拓展内容边界,从红色文化、地方历史、行业榜样中挖掘素材,让内容更具有文化厚度与感染力。
(二)方法革新:从理论灌输到体验共鸣
通过实践教学增强价值认同。组织学生参与乡村振兴调研、社区志愿服务等活动,让他们在接触社会真实需求的过程中,理解“ 躺平” 的局限与奋斗的意义;开展红色教育基地研学,通过革命先辈在困境中坚守理想的故事,激发学生面对压力的韧性提高抗压能力。此外,利用创新思政课形式,例如开展情景化教学,通过情景剧、舞台剧表演或历史事件演绎,让学生沉浸式体验思政课理论背后的历史背景与现实意义,让学生在角色扮演中感悟初心使命,也可以鼓励学生成为课堂上的主导者,让学生分组策划主题课堂,通过教与学角色的互换深化其对内容的理解与认同。
(三)协同育人:链接校园与社会,构建支持网络
思政课的价值引领需与校园文化、社会环境形成合力。一方面,推动课程思政与思政课联动,在专业教学中融入行业伦理、职业价值教育,让学生在专业学习中理解为何而学;另一方面,联合心理辅导、就业指导等部门,为学生提供压力管理、职业规划等实用支持,帮助他们将思政课中的价值认知转化为具体行动。
结束语
“ 内卷” 与“ 躺平” 本质是青年对现代性困境的应激反应。思政课以理论之光照亮认知盲区,以实践之梯搭建超越路径,引导大学生在个体奋斗与社会进步的融合,找到那条既不负此生,亦不负时代的第三条道路,这既是思政教育的使命,亦是对培养堪当民族复兴大任的时代新人的庄严回应。思政课作为青年思想引导的主阵地,既要帮助大学生看清竞争的本质、拒绝盲目内卷,也要引导大学生理解奋斗的意义,重构价值坐标、培育理性心态、锚定时代担当,为大学生提供穿越迷茫的精神力量,让他们在个人成长与社会进步中,找到属于自己不躺平、不盲卷的成长路径。
参考文献
项飙. 《内卷:一种不允许失败和退出的竞争》[J]. 开放时代, 2020.
蓝江. 《躺平主义与当代青年精神世界的重建》[J]. 中国青年研究,2021.
陈曙光. 《马克思人的发展理论及其当代意义》[J]. 马克思主义研究,2019.
沈壮海. 《思想政治教育有效性研究》[M]. 武汉大学出版社, 2016.
一类具p- Laplacian 算子的分数阶微分方程解的存在性
周永强1 周艳2
1.合肥师范学院数学与统计学院 安徽合肥 230061;2.宿迁市沭阳县新河初级中学 江苏宿迁
摘要:基于变分方法,研究了一类具 p-Laplacian 算子的分数阶微分方程解的存在性:首先,建立了该微分方程的函数空间和变分框架;其次,利用山路引理和迭代技术,证明了该微分方程至少存在一个非平凡解;最后,通过一个例子来证明主要结论的适用性.关键词:分数阶p-Laplacian 算子;变分法;山路引理;迭代技术;Banach 压缩映.
1.引言
分数阶微分方程在物理、力学、化学、经济学、工程学和生物科学等不同的学科有着广阔的应用空间,引起了越来越多的研究者关注.分数阶微分方程作为经典整数阶微分方程的推广,为非线性分析、泛函分析等领域带来了新的挑战和机遇. p-Laplacian 算子引入的非线性特性不仅丰富了偏微分方程的理论体系,还推动了分数阶微分方程解的存在性、唯一性、稳定性和正解等基本性质的研究.近年来,学者们利用不动点定理、上下解法和拓扑度理论等,研究了非线性分数阶微分边值问题解的存在性。 由于变分方法和临界点理论的实用性和有效性,许多学者运用其来解决分数阶微分边值问题解的存在性问题[1].如:黎文博等利用变分法,研究了一类分数阶微分方程边值问题解的存在性;薛婷婷研究了几类带 p-Laplacian 算子的分数阶微分方程边值问题的可解性;CHEN 等利用变分方法,研究了一类p-Laplacian 型分数阶微Jiao 等在文献中利用临界点理论研究了分数初值问题:

解 的 存 在 性 . 其 中 α∈(0,1] , 0DTα 和 t DTα 分 别 为 左 、 右Riemann-Liouville 分数阶导数,文章中 F :
是给定的函数,ablaF(t,x) 为 F 在 x 处的梯度.
在 s=1,λ=0 且具有Dirichlet 边界的情况下,方程:

当 p≠q 时,林丽珊等采用极小化序列与山路引理讨论了非线性项f(x,u) 满足一定条件下
方程(2)非平凡解的存在性。而刘祥清等则研究了 p=q 时的共振与非共振问题,并且采用变
形的山路引理与鞍点定理证明了方程(2)存在非平凡解.
近年来,分数阶微分方程解的相关问题,受到了数学研究工作者的广泛关注.例如在文献[2]中,作者利用变分方法结合 Morse 理论研究了一类右边带有非线性分数阶p-Laplacian 方程的多解问题;在一定的条件下讨论了一类分数阶 Schrödinger 方程解的正则性、衰减性和对称性;当位势函数满足一定的条件下,证明了相应的分数阶微分方程至少有一个正解.
本文考虑具有Dirichlet 边值条件的 p -Laplacian 分数阶微分方程解的存在问题:

其中 α∈(0,1] , φp(s)=|s|p-2s,p>1, 0DTα 和 ,DTα 分别为左、右Riemann-Liouville 分数阶导数, h 为 Lipschitz 连续函数且 h(0)=0 .
因为非线性函数 f 中出现了分数阶导数,不能直接利用变分方法和临界点理论来证明问题(3)解的存在性,故本文将变分方法和迭代技术相结合,证明一类含分数阶导数 0cDTα 的非线性函数 f 的广义 p -Laplacian 型分数阶边值问题解的存在性。 本文主要包括三个部分:首先,建立适合问题(3)的函数空间与变分框架,得到问题(3)解的存在性的一个新准则;其次,给出问题(3)解存在的主要结果;最后,通过一个例子证明主要结果的适用性.
2.预备知识
令
设分段连续函数空间
并赋予范数 |x|PC=supt∈J|x(t)| , 则 PC(J,⊥) 是 Banach 空间.
定义2.1 设 γ∈(n,n+1] , ⋅x:[a,+∞)⌈ ,对任意的 t>0,x 是 n 阶可微的,则函数 x 在 t>0 处的γ 阶局部分数阶导数定义为

引理2.1(Banach 压缩映射原理)如果 (X,d) 为完备距离空间, T 为X 自身上的映射,如果对任意的 x1,x2∈X 有不等式
d(Tx1,Tx2)≤θd(x1,x2)
这里 0<θ≤1 则 T 有唯一不动点.
引理 2.2[3] (山路引理)设 H 是一个实 Banach 空间,
满足P.S.条件.如果:
i ψ(0)=0 ;
(ii) 存在 ρ>0,σ>0 使得对所有的 z∈HE|z|=ρ 有 ψ(z)≥σ ;
存在 zl∈H , |z1|≥ρ 使得 ψ(z1)<σ ;
那么 ψ 有临界值 c≥σ .
3.主要结果
在这一节利用山路引理和迭代技术,研究问题(3)解的存在性。为进一步讨论主要结果,给出两个必要的假设条件:
(Hl) 存在常数 τ>p;a,b,r≥0 和
,使得

(H2) 存在常数 M1,M2>0 使得
|f(t,x,y)-f(t,x′,y′)|≤M1|x-x′|+M2|y-y′|.
定理 3.1 具有 Dirichlet 边值条件的 p -Laplacian 分数阶微分边值问题,
如果函数 f(t,x) 在整个平面上连续,并对 x 满足 Lipschitz,即|f(t,x1)-f(t,x2)|≤L|x1-x2| 且满足条件 (Hl) 和 (H2) ,则在 t0 的某一邻域 t-t0≤δ 上,方程(3)在 Eα,p 中至少有一个非平凡解,且满足初值条件
.这里邻域半径δ 满足
.
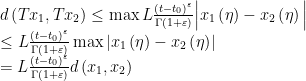
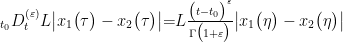
证明 对方程(3)两边取局部分数阶变分 t0Dtε 并在连续函数空间C[t0-δ,t0+δ] 上定义如下映射

则 T 为 C[t0-δ,t0+δ] 上的自身映射.
下面验证 T 满足Banach 压缩映射原理条件,
d(Tx1,Tx2)=max|x1(t)-x2(t)|

对
由局部分数阶积分中值定理,可以得到
这里 η∈(t0,t) .于是
取正数 δ ,使
,则映射 T 为压缩映射,由Banach 压缩映射原理可知 T 有唯一不动点,再由引理 2.2 知, L 满足(PS)条件,故具有 Dirichlet 边值条件的
-Laplacian 分数阶微分方程在 t0 的某一邻域上存在非平凡解.
4.结论
本篇文章主要是研究一类具p-Laplacian 算子的分数阶微分方程解的存在性,运用山路引理证明了该分数阶 p -Laplacian 方程在一定条件下存在非平凡解.运用 Banach 压缩映射原理得到方程(3)平凡解的存在性,相比于文献 和文献 的工作,本文对于导数项的考虑既有整数阶又有分数阶,用的是局部分数阶导数定义.在以后的工作中,也可以考虑用不动点定理,比如Krasnoselskii 不动点定理等来证明平凡解的存在性.
5.例子
下面举例说明主要结论的合理性令
,方程(3)等价于方程:

其中,
又令 F(t,x,y)=e-tx4+tx4(siny)2 则 f(t,x,y)=4e-tx4+4tx4(siny)2
下面证明方程(4)满足条件 (H1) 和 (H2) .
取=4, a=b=r=0 有 τF(t,x,y)-f(t,x,y)=0 ,因此方程(4)满足条件 (Hl) .
取
有
|f(t,x,y)-f(t,x′,y′)|≤(16+16T)(G)2|x-x′|+(4+8T)(G)3|y-y′|≤4T
因此方程(4)满足条件 (H2) .
参考文献
[1]周永强.一类分数阶微分方程的反周期边值问题[J].教育考试与评价,2023(07)37-37.
[2]周永强.具有积分和反周期边值条件的分数阶微分方程边值问题解的存在性[J].教育 新教育创作,2023(04)327.
[3]黎文博. 变分法研究一类分数阶微分方程边值问题解的存在性[J].云南大学学报, 2024,46(2):201-212.
基金项目:合肥师范学院横向项目-手机中框辅料自动化贴装设备研发.(KYSR2024062)
周永强(1982—),男,江西上饶人,硕士研究生,讲师.研究方向:动力系统、现代控制理论.
京公网安备 11011302003690号