- 收藏
- 加入书签
基于偏振光栅的同视区双视三维显示系统
摘要:为了解决视区分离的问题,设计了一种基于偏振光栅的显示器,建立了3D成像模型,详细阐述了双视3D显示;通过几何光学推导视区宽度以及观看视角的计算公式;研制了基于偏振光栅的显示测试装置,。
关键词:集成成像;同视区;双视
0 引言
双视显示,又被称为双视角显示,是近年来出现的一种新型显示技术。它在不同的角度显示出不同的画面,从而实现在一个显示器上同时满足两个观看者的不同需求。自从诞生以来,双视显示技术就受到了众多跨国公司的关注。德国奔驰公司将双视显示应用于S级和CL级汽车。韩国三星公司推出了智能双视高清电视ES9500。但是,在上述双视显示器中,观看者只能观看到2D画面。在3D浪潮的带动下,日本索尼公司率先展出了同时具备双视显示和3D显示功能的Play Station 3D显示器,通过与之配套的眼镜可以让一个玩家只看到左视角的画面,另一个玩家则只看到右视角的画面,从而实现双视角3D显示。紧随其后,韩国LG公司发布了支持双游戏功能的电视LW980T和LW980S。集成成像是具有全视差和连续视点的真3D显示技术。因此,集成成像3D显示与双视显示结合成集成成像双视3D显示技术。它可以在不同的观看方向上呈现不同的真3D画面。目前,集成成像双视3D显示仍然存在两个视区分离的缺点。
1 理论分析
本文提出的显示器包括显示屏,偏振光栅,狭缝光栅和两副偏振眼镜,如图1所示。显示屏、偏振光栅和狭缝光栅的中心对应对齐。偏振光栅位于显示屏和狭缝光栅之间,且与狭缝光栅紧密贴合。偏振光栅由偏振方向正交的偏振条1和偏振条2交替排列组成。偏振眼镜1和偏振条1的偏振方向相同,偏振眼镜2和偏振条2的偏振方向相同。显示屏用于显示微图像阵列。
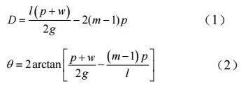
微图像阵列由来自3D场景1的图像元1和来自3D场景2图像元2交替排列组成。图像元的节距与狭缝光栅以及偏振光栅的节距相同。图像元1发出的光经过对应的偏振条1变成水平偏振光,然后被对应的狭缝调制,在观看视区内重建出3D图像1。图像元2发出的光经过对应的偏振条2变成垂直偏振光,然后被对应的狭缝调制,在观看视区内重建出3D图像2。偏振眼镜1的偏振方向与偏振条2的偏振方向正交,而偏振眼镜2的偏振方向与偏振条1的偏振方向正交。因此,在观看视区内,佩戴偏振眼镜1的观众只能看到3D图像1,佩戴偏振眼镜2的观众只能看到3D图像2。即,本文提出的显示器在同一视区内同时提供两个不同的3D图像。图像元1的数目为m,图像元的节距为p,显示屏与狭缝光栅的间距为g,狭缝的孔径宽度为w,观看距离为l。视区的宽度D和观看视角θ分别为
2 实验验证
采用高分辨率打印机打印微图像阵列,搭建基于偏振光栅的显示实验装置验证所提理论。图像元1的数目是40,图像元的节距为3mm,显示屏与狭缝光栅的间距为3mm,狭缝的孔径宽度0.3mm。在观看距离390mm处,分别通过偏振眼镜1和偏振眼镜2从不同的观看角度拍摄3D图像,如图2和3所示。通过偏振眼镜1可以观看到“F”和“L”。通过偏振眼镜2可以观看到“L”和“S”。即,通过偏振眼镜1和偏振眼镜2可以分别观看到3D图像的移动视差。实验结果证明本文提出的显示器能够在同一视区内同时显示两个不同的3D图像。
3 结 论
本文设计了一种基于偏振光栅的显示器,详细阐述了显示器的工作原理,推导了观看视角的计算公式,并通过实验验证了佩戴不同偏振眼镜的观看者可以在同一个视区内观看到不同的3D图像。
致谢
本文成都工业学院学生青苗计划项目《基于偏振光栅的同视区双视三维显示系统》的成果。
参考文献:
[1]Krijn M P C M,De Zwart S T,De Boer D K G,et al. 2-D/3-D displays based on switchable lenticulars[J]. Journal of the Society for Information Display,2008,16(8):847-855.
[2]Chen Chaoping,Lee J H,Yoon T H,et al. Monoview/dual-view switchable liquid crystal display [J]. Optics Letters,2009,34(14):2222-2224.
[3]Cui Jianpeng,Li Yan,Yan Jin,et al. Time-multiplexed dual-view display using a blue phase liquid crystal [J]. Journal of Display Technology,2013,9(2):87-90.
[4]Wang Zi,Lv Guoqiang,Feng Qinbin et al. Simple and fast calculation algorithm for computer-generated hologram based on integral imaging using look-up table [J]. Optics Express,2018,26(10):13322-13330.
[5]Jeong J,Lee C K,Hong K,et al. Projection-type dual-view three-dimensional display system based on integral imaging[J]. Applied Optics,2014,53(27):G12- G18.
本文是成都工业学院学生青苗计划项目《基于偏振光栅的同视区双视三维显示系统》的成果。(课题编号:QM2023055)



京公网安备 11011302003690号