- 收藏
- 加入书签
中国保险市场风险的测度与防范对策
摘要:保险行业是金融体系的重要组成部分,保险市场的稳定性对金融市场的稳定具有不可忽视的影响力,因此,对我国保险市场进行风险测度、做好风险防范刻不容缓。本文以2002-2022年我国保险业的原保险赔付支出月度数据作为研究样本,采用原保险赔付额除以一年滚动时间窗口最小值作为风险衡量指标,并对计算出来的数值进行标准化处理来测度中国保险市场风险。研究表明,2020年第四季度的风险值最大,风险压力最大;2016年第二季度的风险值最小,风险压力最小。各个年份中第一季度和第四季度的风险值普遍较高,风险压力较大;第二、第三季度的风险值普遍较低,风险压力较小。最后,本文提出以下对策建议:构建并完善“金融+科技”的安全监控和预警制度、强化全员风险管理意识、建立多元化的风险分散渠道及加强对保险机构的监管。
关键词:中国保险市场;风险测度;原保险赔付额;风险压力;风险防范
一、引言
随着我国金融的对外开放,保险行业从“保险乱象”发展到欣欣向荣阶段,无论是资产规模还是管理水平或盈利水平都得到了一定程度的快速发展。然而,中国保险业与西方国家的保险业发展程度还存在很大差距,尚不成熟。近年来,我国已进入信息时代,科技的发展对我国保险业产生了巨大影响,促使保险业步入了保险科技时代,中国保险市场也出现了许多新的特征、新的风险,为未来的发展带来非常大的影响。此外,2019年末爆发的新冠肺炎疫情,对社会各个领域都产生了一定的影响。其中,新冠肺炎给保险市场带来了新的机遇和风险。而保险行业作为金融体系的重要组成部分,倘若由于各种风险造成保险市场动荡,将会对保险市场乃至金融体系造成重大冲击。由此看来,对我国保险市场进行风险测度和风险防范是当前的重要任务。那么应该运用何种方法对我国保险市场进行风险测度?如何对我国保险市场进行风险防范?为此,本文采用原保险赔付额除以一年滚动时间窗口最小值来衡量保险市场的风险,通过收集样本数据并将数据进行标准化处理,对中国保险市场进行风险测度,并根据所得结论提供一些行之有效的风险防范对策或政策建议,以促进中国保险市场的持续发展。
目前国内外围绕保险市场的风险测度与风险防范所作的研究尚不充足,且大多数研究仅局限于保险市场某一特定风险(如系统性风险、信用风险)的测度,而缺乏对保险市场整体的风险测度,并且大多数研究选择运用CoVaR模型法来进行风险测度,缺乏更加新颖且行之有效的测度方法。因此,本文采用更为新颖的风险测度方法将对于测量和防范我国保险市场风险,促进保险市场健康发展,最终促使我国金融体系持续发展,促进经济发展和社会稳定具有重要的理论和现实意义。
二、文献综述
对于保险市场风险的测度与防范对策在国外研究相对较早,在这些研究当中,国外的学者从保险公司的视角,或者将保险业与银行业进行比较,来对保险业产生风险的可能性进行分析和研究。同时,国外学者也对保险业系统性风险的测度方法等方面进行了研究,但与此相关的研究仍相对较少。Adrian和Brunnermeier(2011)提出了CoVaR模型法来衡量金融系统的系统风险,衡量条件风险值,并用分位数回归模型对其进行估计。Schwarcz S L(2011)通过实证分析证明保险市场有引发系统性风险的可能性,且美国金融系统性风险的重要行业是保险业。Cao Yufei(2021)采用 Copula函数模型,对中国全部上市保险公司和整个保险市场的关联性进行了实证分析。在此基础上,以我国保险公司为研究对象,采用定量化方法,研究了我国保险公司在险价值、条件在险价值、ΔCoVaR等指标,并对我国保险市场下行、上行系统性风险的外溢作用进行评价。
在金融危机之后,国内的学术界也开始结合我们国家的现实状况来对我们国家的体系风险进行了一些探讨,但是这些探讨大多集中在银行和证券等领域,而对于我们国家的保险市场却鲜有涉及。在现有研究中涉及保险市场风险测度的相对较少,大多研究与风险防范、互联网保险等内容相关。关于保险市场风险的测度与风险防范,高姗和赵国新(2014)采用指标法构建我国保险市场系统性风险的测量框架,选择比较分析法对各类系统性衡量方法的运用效果进行评估,对宏观审慎监管保险市场有一定的帮助。曹植(2015)运用基于分位数回归法的CoVaR模型对2012-2014年我国上市的保险公司的相关数据进行测度研究,通过分析可以看出:我们必须对系统重要性机构的系统性风险给予足够的关注,同时也要对保险业和其它金融子行业的系统性风险给予足够的关注。最后曹植提出,保险公司应加强内部控制、提高策略灵活度,监管部门要构建一个相互关联的金融业风险监督体系等对策建议。黄群程(2016)运用CoVaR方法和GARCH模型研究了中国四家上市保险公司的股票数据,测量了系统性风险的溢出效应和贡献水平,并分析了其影响因素:费率市场化与保险产品多样化,提出了识别重要保险机构和宏观审慎监管等相关建议。
类似的,黄佳(2018)采用Copula-CoVaR模型对2007-2017年期间我国保险公司、保险与银行、证券和金融市场之间的系统性风险外溢进行了研究,并利用Forward-CoVaR模型对其影响因素进行了研究。研究发现,我国保险业与银行业之间的风险溢出效应强于保险业与证券业之间的风险溢出效应。刘娜(2018)运用CoVaR模型法对我国保险市场的四家上市保险公司进行实证研究,结果表明,在保险市场中,在险价值VaR和条件在险价值CoVaR的变化趋势大致一致。这四家公司可称为系统重要性保险公司。由此,刘娜提出要建立健全保险市场系统风险管理制度,对新业务和产品进行宏观审慎监管,重点关注系统重要性机构等建议。与此类似,王霞(2020)通过CoVaR和分位数回归等方法,研究我国四家上市保险公司,对保险市场的系统性风险进行测度,并根据其特征从宏微观层面提出政策建议。王霞相信,从长远来看,保险行业的发展将会对我国经济起到正面的作用,所以,要重视保险行业的持续健康发展,进行风险防范和监管。
有部分学者与以上学者的研究方法不同,孟庆燕(2021)运用或有权益分析模型和POT模型,对我国上市公司在2012-2019年期间的信用风险水平进行测度,并提出保险公司要加强多元化经营程度、监管部门要健全保险公司资金投资监管体系等建议。庞加兰(2021)基于2010-2019年间的数据,运用了CRITIC客观赋值方法,建立了中国金融压力指数,并对其进行实证检验。通过分析可以看出该指数在总体上呈现下滑趋势,而银行、股票以及证券市场所占的比重更大,所以庞加兰建议既要对相关行业进行重点监管,也要重视发展实体经济。刘玮(2021)运用定性和定量分析法,分析影响保险市场系统性风险的主要因素,提出加强监管系统性重要机构,将长期机制构建和短期风险管控结合等建议,从而提升保险市场防范和分散风险的能力。石礼蒙(2022)运用β系数法和CoVaR模型法对我国上市保险公司的股票数据进行实证分析,比较后发现运用CoVaR模型法的效果更好,由此得出结论:大型保险公司在保险市场系统性风险外溢中的贡献较大,并为监管保险业提出将宏观审慎和微观审慎相结合等政策建议。
国内还有许多学者对保险市场的风险防范对策作了相应的分析研究,但没有涉及风险测度的内容。关于保险市场的风险防范,李金博(2018)、孟辉(2020)和沈凡力(2022)均提出应按照“偿二代”的监管标准,加大对保险行业的监管力度。此外,李金博(2018)和沈凡力(2022)还提出要强化风险管理的意识,全面深化风险管理,强化风险防范。陈嘉欣(2020)以及李洪和孙利君(2020)认为应该建立保险业复合型人才培养机制,为保险市场培养复合型人才。而王冉、孙涛(2019)则从顶层设计、保险公司的内部治理结构、保险公司的创新等方面,对保险公司存在的问题进行了深入的剖析,并给出了相应的解决方案。2020年的新冠肺炎疫情也对我国保险市场造成了一定的冲击,李姿锐和程杰(2020)分析了此次疫情对我国保险市场的影响,提出了如下发展建议:可保条件的边界和政企合作模式的创新;保险公司与科技平台合作。
通过文献回顾,其实我们可以看到,国内外学者围绕保险市场的风险测度与风险防范所作的研究尚不充足,文献相对缺乏,大多数研究仅局限于保险市场某一特定风险(如系统性风险、信用风险)的测度,而缺乏对保险市场整体的风险测度,并且大多数研究选择运用CoVaR模型法来进行风险测度,缺乏更加新颖且行之有效的测度方法。此外,还有许多研究仅通过分析保险市场某一特定风险的特点和来源便提出了风险防范对策,缺乏相关的风险测度和强有力的数据支撑,说服力不足。因此,本文试图在这些文献的基础上,采用原保险赔付额除以一年滚动时间窗口最小值,从总体上对我国保险市场进行风险测度,并提出一些行之有效的风险防范对策,试图弥补上述研究的不足。
三、中国保险市场的风险测度
(一)测度方法
我国保险市场是一个较为活跃的市场,其中人身保险和财产保险是两个主要的市场。随着经济的快速发展,我国保险市场的规模和业务水平也在不断提高,保险公司的数量也在不断增加,企业结构不断优化。同时,我国保险市场也正面临着管理风险、投资风险、业务风险、信用风险等,这些风险不容忽视。
为了对保险市场的风险进行度量,国内外的研究学者普遍选择采用CoVaR模型法、GARCH模型、指标法、分位数回归法、或有权益分析模型、POT模型、客观赋值法CRITIC、定性和定量分析法等,来对保险市场的某一特定风险(如系统性风险、信用风险)进行风险测度,缺乏对保险市场整体的风险测度,也缺乏更加新颖且行之有效的测度方法。因此,与以上风险测度方法不同,本文中保险市场的风险压力指数采用刘晓星,方磊(2012),徐国祥、李波(2017)的方法,用原保险赔付额除以一年滚动时间窗口最小值来衡量,原保险赔付额上升速度越快,该值越大,保险市场风险压力越大。
具体的处理方法为:将2002年至2022年各个月份的原保险赔付额除以一年中的最小值,得出各个月份的风险指数,再计算出各个季度的平均风险指数。最后,对所计算出来的风险衡量指标进行标准化处理,其具体处理方式是:将各个季度的平均风险指数减去最小值,再除以最大值,也就是:,通过这种标准化的处理方式,将各个季度的平均风险指数转换成0-1之间没有单位的纯数值,观察数值更趋向于0还是更趋向于1;计算出标准化处理后的数值的平均值,观察各季度的风险指数是否大于或小于平均值。
(二)数据说明
部分研究学者仅收集了我国四家上市保险公司的数据或我国近十年的保险市场数据作为样本数据,样本数据量不充足,时间区间不够长,分析出来的结果不够具有说服力,也难以充分代表我国保险市场的整体情况。因此,本文选取了2002年第一季度至2022年第四季度的保险赔付额作为测度保险市场风险的数据,数据来源于中国银行保险监督管理委员会,确保数据真实可信,选取的时间区间较长,包含了我国保险市场近21年的数据,反映的信息会较为充分,以提高本文研究结果的说服力。
有关原保险赔付金额,也就是赔偿费用,是指由保险公司所支付的由原保险合同所赔偿的金额,以及由再保险合同所赔偿的金额,其上升速度越快,则该风险指数就会越大,说明保险市场的风险压力就越大;其上升速度越慢,则风险指数就会越小,说明保险市场的风险压力就越小。而进行标准化处理后的数值越趋向于0,则说明风险压力越小;数值越趋向于1,则说明风险压力越大。
(三)测度结果
按照上述风险测度方法对2002年至2022年共252个月份、84个季度的数据进行处理,共计算出84个经过标准化处理后的风险值,全部介于0-0.6之间,大多数介于0.3以下。其中,有5个季度的风险值高于0.3,风险压力较大,分别是2006年第四季度、2007年第一季度、2020年第二季度、2020年第三季度以及2020年第四季度。此外,还有6个季度的风险值相对较低,低于0.03,风险压力较小,分别是2003年第一季度、2008年第三季度、2015年第二季度、2016年第二季度、2016年第三季度以及2022年第二季度。其中,2020年第四季度的风险值最大,为0.51116,说明风险压力最大;2016年第二季度的风险值最小,为0,说明风险压力最小,具体如下表1和表2。
通过观察表1和表2的数据可以发现,2008年我国保险市场的风险值相对较低,可以推测2008年我国保险市场受全球性金融危机的影响较小,众多保险企业都安全地度过了此次危机。我国保险市场受2008年金融危机的影响相对较小的原因可能有以下:
第一,相对封闭的资本市场:相比于欧美国家,我国资本市场的自由化和国际化程度较低,并且外资进入我国市场的时间较晚,因此我国保险公司投资组合中的风险资产比例较低,导致其受到的冲击比较小。
第二,保险业监管相对严格:中国保险监管部门在2008年金融危机期间采取了预防和控制风险的有效措施,对保险公司的投资、资本充足率等方面进行了加强监管和指导,因此我国保险公司的整体风险水平相对较低。
第三,保险市场相对年轻:我国保险市场相对于欧美国家还比较年轻,在2008年金融危机之前,我国保险市场年增长率保持在两位数甚至更高,由于保险需求的快速增长,保险公司的业务规模和市场占有率不断提高,因此受到危机的影响相对较小。
总之,我国保险市场受2008年金融危机影响相对较小,是由于多种因素的共同作用所致。
此外,2015年至2016年的风险值都相对较低,其中,2016年的风险值为我国保险市场近21年的最小值,这可能是由于我国在2016年已经成为全球保险第二大国,我国保险行业发展势头较好。
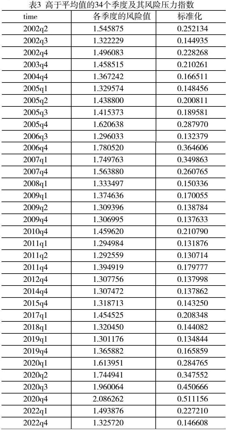
本文通过计算得出84个季度风险值的平均值为0.12856,共有34个季度的风险值高于平均值,其余季度的风险值均低于平均值,具体见下表3,下图1为高于平均值的34个季度及其风险压力指数变化情况。通过观察表2.3和图2.1可以发现,2002年、2005年、2006年、2007年、2009年、2011年、2019年、2020年以及2022年存在两至三个季度的风险压力指数高于平均值,为高压力区;其余年份各季度的风险压力指数普遍低于平均值,为低压力区。
此外,2002年第一季度至2022年第四季度中国保险市场风险压力指数变化情况如下图2,从下图2中可以看出,各个年份中第一季度和第四季度的风险值普遍相对较高,保险市场的风险压力会相对较大;第二季度和第三季度的风险值普遍相对较低,保险市场的风险压力会相对较小。我国保险市场近21年来第一、第四季度的风险压力普遍较高,而第二、第三季度的风险压力普遍较低,主要是由于以下几个原因:
第一,一季度和四季度是保险市场的“传统环节”,因为这两个季度是我国保险业的保费收入高峰期,同时也是理赔出险高峰期,可能涉及到一些灾害性风险和意外风险,从而导致保险公司面临更多的风险压力。
第二,一季度是业务发展的起点,保险公司通常会在一季度开展大规模的营销宣传、产品销售和渠道建设,以获取更好的业绩表现,这种过度的营销活动可能会导致业务集中度的提高和风险积聚。四季度是保险公司的业绩考核季节,保险公司可能会在这个时期采取一些高风险的经营手段,以增加短期业绩,但这种行为可能会导致中长期风险的积累。
第三,经济波动。一季度和四季度恰好与我国经济活动波动周期的高点相吻合,因此在这两个季度中,保险公司面临的各种风险都会相对较高。
第四,外部环境不稳定。保险市场的风险压力除了与内部经营风险相关之外,还与外部宏观经济、政治等因素密切相关。特别是在当前国际经济环境不确定性较大的情况下,第一、第四季度的风险压力自然会更高。
第五,二、三季度相对较少的业务量也可能是因为国内经济低迷或不景气导致消费者对保险产品的需求下降。
第六,保险产品的特点。一些保险产品通常会设置自然年度,并进行购买。考虑到这些产品的特点,第四季度可能会给保险公司带来更多的风险,因为大量的投保者需要将保险产品进行续保或更新投保,从而产生更多的投资风险压力。
综上所述,第一、第四季度的风险压力较高是由多种因素共同作用所致,而保险公司需要注意在这些季度中加强内部管理、严格风险控制和资本运用,以应对市场波动和风险挑战。
此外,从图2中可以明显看到2020年第一季度至2020年第四季度的风险指数快速升高,这主要是由于受到新冠肺炎疫情的影响。新冠肺炎疫情突然爆发于2019年底并流行于2020年,在疫情爆发后,大量投保人的生命、财产等均受到了较大影响,对保险业产生了较大的冲击。在这一年里,保险市场的风险压力持续增加,并突破近20年来的最高值,达到新的峰值。随着疫情逐渐受到控制,对保险市场的冲击和影响较少,2021年第一季度至第三季度保险市场的风险指数呈下降趋势,风险压力逐渐减少。
通过观察图2趋势线的走势,还可以发现,2022年第二季度至第四季度的风险指数呈小幅上涨趋势。由于往年大多情况是第一季度和第四季度的风险值相对较高,因此本文预计未来我国保险市场在2023年第一季度的风险指数可能会有所上升,在第二季度或第三季度可能会下降到全年最低,在第四季度风险指数大概率上涨。
从图3的柱形图中可以更加直观地观察出,我国保险市场风险压力指数呈现出三个阶段,第一阶段是2002年至2011年,风险压力指数相对较高,为高压力区;第二阶段是2012年至2019年,风险压力指数相对较低,为低压力区;第三阶段是2020年至2022年,整体平均风险压力指数比往年都要更高,尤其是2020年达到了我国保险市场近21年来风险压力指数的最高值,但2021年和2022年的整体风险压力指数已经下降至与第二阶段的整体水平相近,未来若无重大突发事件或重大风险爆发,我国保险市场的风险压力指数将大概率不会骤然升高。
四、中国保险市场风险防范对策
为了避免重大突发事件或重大风险爆发对我国保险市场造成巨大冲击,必须采取相应的风险防范措施。而我国保险市场的风险防范,应在“保险姓保”的基础上,加强对风险的监控与预警,提高保险公司的风险管理意识,建立多元化的风险分散渠道,同时,要加强对保险机构的监督管理,以防止保险公司与其它金融机构之间的交叉风险蔓延。
(一)构建并完善“金融+科技”的安全监控和预警制度
近年来,现代科技的飞速发展对保险业产生了巨大的影响,使保险业进入了科技的新时期。对保险公司来说,可以构建并完善“金融+科技”的安全监控和预警制度,运用金融科技手段,来对市场风险、信用风险以及公司治理等风险进行实时监控和预警。在对市场风险进行监控的时候,可以利用人工智能、大数据分析、物联网、机器学习、云计算、社交媒体监听等技术,来完成对市场风险的监控和预警,从而可以在面对市场风险之前,做出相应的风险防范措施。在信用风险监控中,可以使用大数据技术来收集投资客户、交易对手和公司的财务信息、业务信息以及不良消息等,来对投资方和交易方的信用风险进行监控。在公司治理风险监测中,可以利用科学技术的方法,对业务过程和交易系统展开实时的监视,强化对投资业务的风险的重视,从而达到对公司治理风险的监测和预警的目的。
(二)强化全员风险管理意识
风险管理意识在风险防范中也起着至关重要的作用。目前,有不少的保险主体及从业人员,没有对风险管理工作给予足够的关注,没有形成风险管理、依法合规经营的观念,因此,他们在面对风险时往往存在侥幸心理、应付心理、同理心理,在他们追求业务增长时,却不能对风险进行有效的管理,这样下去,势必会对我国保险市场的可持续发展产生极大的影响。
因此,对于保险公司而言,要注意强化全员风险管理意识,提高整体的风险控制水平,全面深化风险管理。经过培训和教育,使员工深刻认识到风险管理意识的重要性,学习如何对风险进行防控,尽可能地避免操作风险、人员风险等;充分发挥警示教育的作用,提高全员的风险防范意识;通过制度规范全员行为,使全员形成依法合规管理的良好习惯;通过对问题的整改和对其进行的追责问责,来构建一个合法的、合规的经营氛围,进而可以对侥幸心理、应付心理进行有效杜绝,让每个人都能做到有责担责。要以风险管理为核心,加强对整个工作流程和全体人员的风险管理意识、风险防范意识,对顾客的风险管理需求进行挖掘和满足,充分利用保险产品在风险承担和转移上的优点。
(三)建立多元化的风险分散渠道
对于保险公司而言,有些风险难以规避和消除,那么分散风险就显得十分重要。首先,要多元化保险公司的产品,能有效分散风险。通过产品的多样化,减少对某一种保险产品的依赖性,从而提高了保险公司抵御外界风险的能力。其次,利用再保险机制,实现对保险公司业务风险的有效分散。一些保险业务如巨灾保险的保险标的价值过高,对一个保险机构来说,所承担的风险过于庞大。在这种情况下,就可以利用再保险机制,将风险向多个保险公司进行分散,来达到减少自身承保风险的目的,这是一种比较常用且可行的风险分散方式。
(四)加强对保险机构的监管
目前,我国保险行业的发展尚不成熟,仍存在许多乱象,其中,官方披露的问题主要包括:虚假注资,资金不足;公司治理混乱;数据造假以及销售行为违规等等,可归纳为市场乱、业务乱和人员乱三大类,对市场秩序造成破坏,对消费者的合法权益造成了损害。为此,应根据中国的第二代偿付能力监管制度体系的要求,加强对保险公司的监督管理,并在此基础上,进一步完善保险监管制度建设。此外,要加强对系统重要性保险机构的监管。中国人寿、中国人保、中国平安、太平洋保险等10家大型保险集团的资产规模合计高于我国保险行业的七成,对我国保险市场有着十分重要的影响。因此,在防范保险市场风险的过程中,监管部门要对这些系统重要性保险机构进行更多的关注,对其保险资金投资、偿付能力等进行严格的监管,从而有效防范各类风险的发生。
基金项目:国家社科基金一般项目“中国金融风险压力与央行非线性货币政策规则研究”(22BJY241)。
参考文献:
[1]Adrian T , Brunner Meier M K . Federal Reserve Bank of New York Staff Report 348[J]. Federal Reserve Bank of New York Staff Reports,2011,55(6):301-348.
[2]Cao Yufei. Modeling the dependence structure and systemic risk of all listed insurance companies in the Chinese insurance market[J]. Risk Management and Insurance Review,2021,24(4):85-91.
[3]Schwarcz S L. Keynote address–identifying and managing systemic risk: An assessment of our progress[J]. Available at SSRN 1788336,2011.
[4]曹植.我国保险业系统性风险测度研究[D].山东财经大学,2015.
[5]陈嘉欣.“一带一路”背景下我国保险业的风险防控探究[J].市场周刊,2020(04):106-108.
[6]高姗,赵国新.保险业系统性风险的度量框架与衡量方法研究[J].内蒙古金融研究,2014,403(01):17-21.
[7]黄佳.我国保险业系统性风险测度与分析[D].厦门大学,2018.
[8]黄群程. CoVaR在上市保险公司系统性风险测度中的应用[D].湖南大学,2016.
[9]李洪,孙利君.我国互联网保险发展现状、风险及防范对策[J].管理现代化,2020,40(02):97-99.
[10]李金博.我国保险业系统风险的潜在表现和防范建议[J].金融理论与实践,2018(12):97-102.
[11]李姿锐,程杰.新冠肺炎疫情对中国保险业的影响与发展建议[J].营销界,2020(38):41-43.
[12]刘娜.我国上市保险公司系统风险的测度分析[D].山东财经大学,2018.
[13]刘玮.陕西保险业防范系统性风险统计测度和机制研究[J].现代营销(下旬刊),2021,195(03):37-39.
[14]刘晓星,方磊.金融压力指数构建及其有效性检验——基于中国数据的实证分析[J].管理工程学报,2012,26(03):1-6.
[15]罗安邦,姚雪松,徐飞.中国金融风险的测度、成因及对策[J].全国流通经济,2021,2271(03):147-149.
[16]孟辉.浅析保险公司的经营风险及防范策略[J].现代营销(信息版),2020(05):72-73.
[17]孟庆燕.我国上市保险公司信用风险测度研究[D].湖南大学,2021.
[18]庞加兰,王倩倩,吴露露.金融开放背景下系统性金融风险测度与防范[J].征信,2021,39(05):84-92.
[19]沈凡力.吉林省保险业的风险防控研究[J].商展经济,2022,60(14):89-91.
[20]石礼蒙.我国上市保险公司系统性风险的测度研究[D].山东财经大学,2022.
[21]唐金成,刘鲁.保险科技时代“AI+保险”模式应用研究[J].西南金融,2019(05):63-71.
[22]王冉,孙涛.我国保险业治理体系发展优化研究[J].技术经济与管理研究,2019(11):66-71.
[23]王霞.我国保险业系统性风险测度与成因研究[D].山西财经大学,2020.
[24]徐国祥,李波.中国金融压力指数的构建及动态传导效应研究[J].统计研究,2017,34(04):59-71.
[25]严晨.保险行业的市场结构、市场行为、市场绩效研究[J].统计与管理,2021,36(08):78-83.






京公网安备 11011302003690号