- 收藏
- 加入书签
基于谐波平衡法的分数阶导数阻尼Van der Pol振子随机响应
摘要:本文基于Monte Carlo模拟分析框架,推导了宽带随机激励下,分数阶导数阻尼Van der Pol振子响应功率谱密度求解公式。首先,利用随机过程的谱表示方法得到了系统激励过程的Fourier级数,随后利用谐波平衡法将该分数阶导数阻尼Van der Pol振子的运动微分方程转化为一组以系统响应过程的Fourier级数为未知量的代数方程。接着,采用Newton迭代法求解代数方程得到了系统响应过程的Fourier级数。最后,通过响应过程的Fourier级数得到了响应过程功率谱密度。整个过程中可选取合适的激励Fourier系数计算,这极大提高了计算效率。
关键词:分数阶导数阻尼Van der Pol振子;Monte Carlo模拟;谐波平衡法;功率谱密度
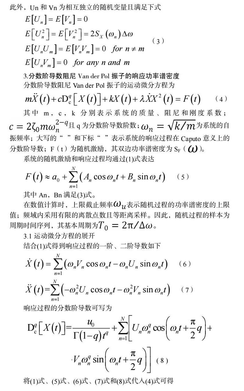
1引言
近年来,土木工程领域的研究者发现,如岩石、沥青等地质材料,以及橡胶、塑料、混凝土等工业材料并不只具有弹性或粘性特征,而是具有介于两种之间的粘弹性特征。对于该类材料本构关系的建模,与传统的整数阶导数模型相比,分数阶导数模型有着明显的优势。它不仅能更加准确的描述这类材料的特性,例如岩石的蠕变特性,并且使用的实验参数更少[1,2],简化了材料的物理模型,这将十分有利于后续的系统动力响应分析。因此,发展分数阶导数线性和非线性系统在确定性以及随机激励下的动力响应方法是十分必要的。目前,对于分数阶导数线性系统在确定性激励下的动力响应研究,使用摄动法[3]和平均法[4]可以获得系统响应的解析表达式,但是局限于特定条件下。在随机激励下,系统响应可利用分数阶脉冲响应函数进行积分获得,但是只适用于简单的系统。分数阶导数系统的随机响应分析研究较少,大多数是基于传统的随机分析方法进行推广,如随机平均法[5]、路径积分法[6]等。
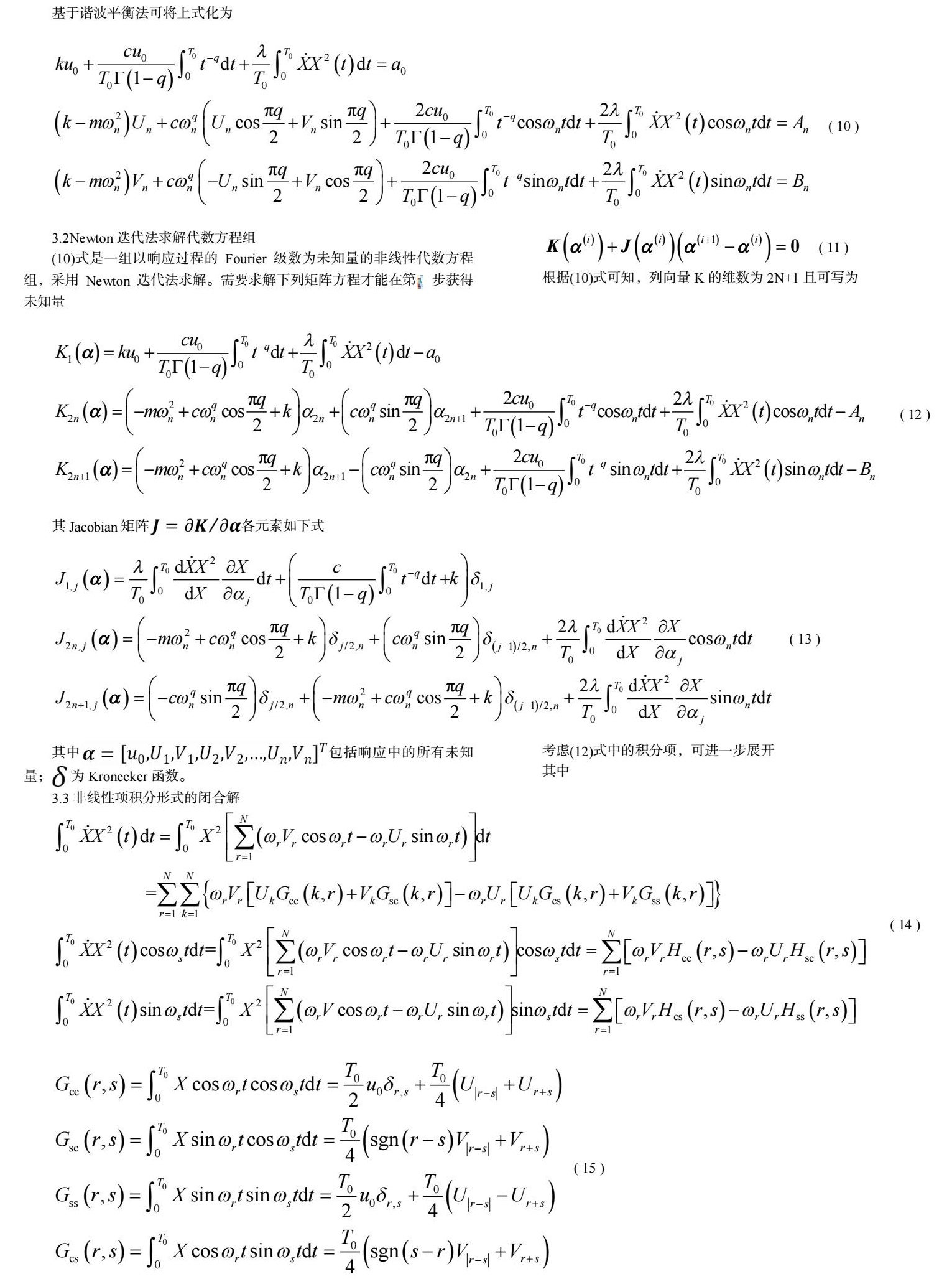
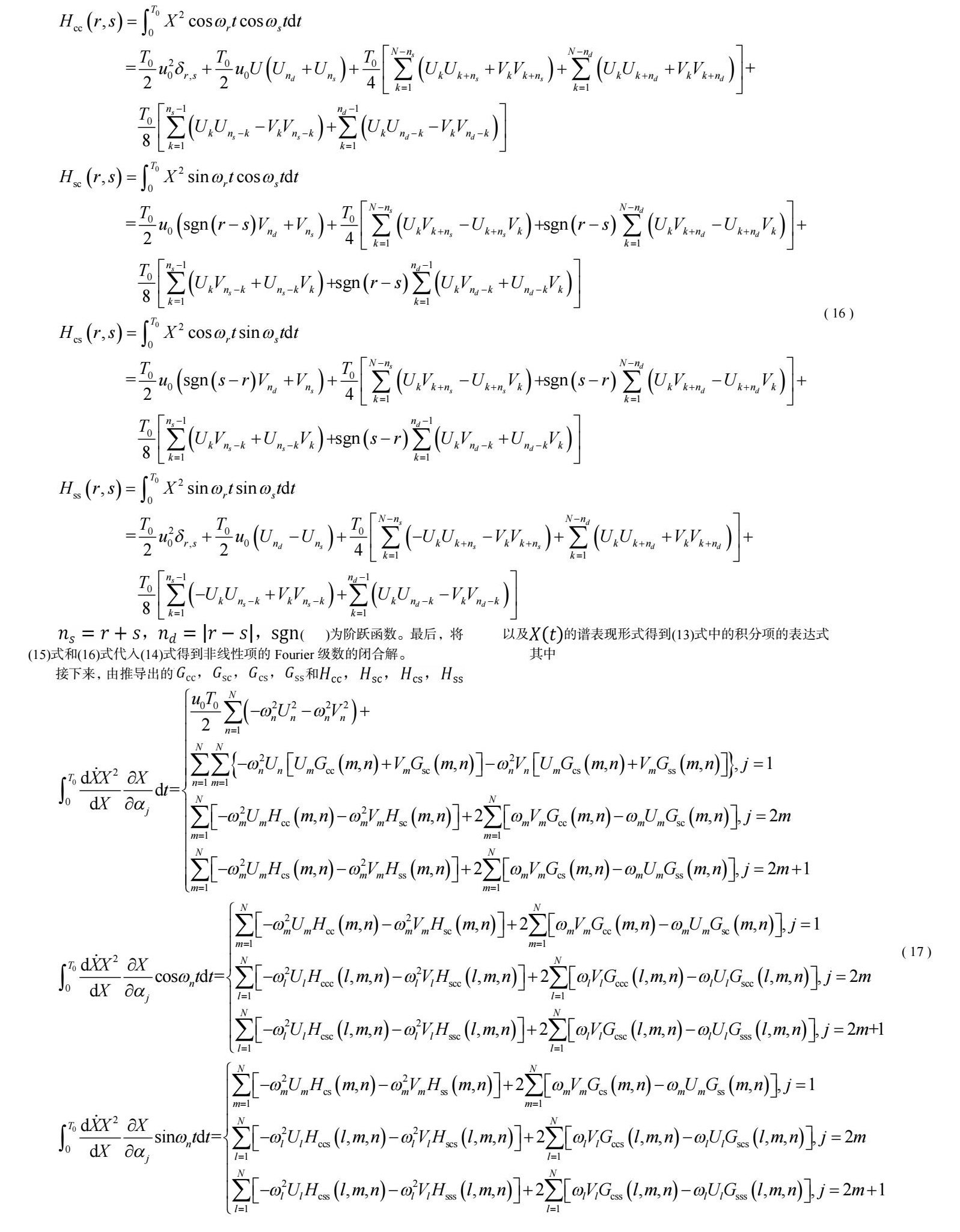
本文研究的分数阶导数阻尼Van der Pol振子是一个经典的分数阶导数非线性系统,所采用的求解方法基于Monte Carlo模拟方法的框架。Monte Carlo模拟方法可分为时域Monte Carlo模拟方法和频域Monte Carlo模拟方法,前者的计算成本往往和样本函数的时间步长相关。本文推导了分数阶导数阻尼Van der Pol振子功率谱密度的频域求解方法,将具有更高的计算效率。
2结论
本文基于Monte Carlo模拟分析框架,推导了宽带随机激励下,分数阶导数阻尼Van der Pol振子响应功率谱密度的求解公式,为发展分数阶导数非线性系统随机动力响应方法提供了新的思路。
参考文献
[1] Bagley R L, Torvik P J. Fractional Calculus-A different approach to the analysis of viscoelastically damped structures[J]. Aiaa Journal, 2012, 21(5): 741-748.
[2] 赵永玲, 侯之超. 基于分数导数的橡胶材料两种粘弹性本构模型[J]. 清华大学学报(自然科学版), 2013, 53(03): 378-383.
[3] Padovan J, Sawicki J T. Nonlinear vibrations of fractionally damped systems[J]. Nonlinear Dynamics, 1998, 16(4): 321-336.
[4] Wahi P, Chatterjee A. Averaging oscillations with small fractional damping and delayed terms[J]. Nonlinear Dynamics, 2004, 38(1): 3-22.
[5] 孙春艳, 徐伟. 含分数阶导数项的随机Duffing振子的稳态响应分析[J]. 振动工程学报, 2015, 28(03): 374-380.
[6] Matteo A D, Kougioumtzoglou I A, Pirrotta A, et al. Stochastic response determination of nonlinear oscillators with fractional derivatives elements via the Wiener path integral[J]. Probabilistic Engineering Mechanics, 2014, 38: 127-135.
[7] Shinozuka M, Deodatis G. Simulation of stochastic processes by spectral representation[J]. Applied Mechanics Reviews, 1991, 44(4): 191-204.







京公网安备 11011302003690号