- 收藏
- 加入书签
基于荧光定硫法的汽柴油含硫量不确定评定研究
摘要:随着经济全球化的发展,国家的经济正在迅速腾飞,交通运输业对汽柴油的消耗量也日益加大。机动车排放污染已经是全国各地区PM2.5的主要来源,改进发动机设计和尾气净化,是实现机动车尾气减排的关键,但前提是要有品质与之相适应的车用燃油。劣质汽柴油所排放的尾气含有多种人体免疫细胞难以识别的微小颗粒,会引发各种肺部疾病。随着环保观念的普及,越来越多的人意识到,对于汽柴油的质量监控同样是一种环保方式,通过加强汽柴油监管人员的责任意识,保障市场中的汽柴油质量,可不断减少由此产生的环境污染及健康伤害。基于此,对荧光定硫法的汽柴油含硫量不确定评定进行研究,以供参考。
关键词:荧光定硫法;汽柴油含硫量;不确定评定
引言
汽柴油含硫问题是现阶段对其进行质量检验遇到的主要问题之一。硫元素会腐蚀直接接触的设备,还会引起催化剂中毒。荧光标定法适用于多种汽柴油的质量检验,以目前我国现行的汽柴油质量检测标准对硫元素的影响情况可知,其控制指标已经接近荧光标定法的检测下限。因此,本文对检测方法的不确定性控制指标进行评估将具有重要意义。
1汽柴油检测中硫含量主要问题参数
柴油的硫含量不仅是石油质量的重要指标,也是影响自然环境的重要因素。如果蒸汽柴油含硫量指数不够严格,那么在发动机运行期间,质量较低的油会在燃烧后产生大量二氧化硫、二氧化硫和其他有害气体,这些有害气体可能与发动机表面的某些金属物质发生一系列化学反应与此同时,大量燃烧硫会造成严重的大气污染,危害人类健康。因此,生产蒸汽柴油时,必须严格控制产品的硫含量。
2准确性影响因素
2.1预处理
①油中存在混合水,水分布不均,样品含水量越大,分析数据重复性越差;②含水量大的样品由于脱水差而影响测量;③重柴油样品可能存在分层存放情况,如果样品不完全混合,样品表示不良。解决上述问题的处理方法:①对于明显悬浮的水样,禁止取样和分析;②当样品数据过大时,同时分析样品中的含水量(功率法);③重柴油样品分析时,应先对样品进行预处理,先对样品中的水进行过滤,然后进行全硫分析。
2.2进样量
如果确定了热液喷口温度和气流速率,则样品数量与检测到的相应值成比例。样品中的样品太少,可能导致数据的平行程度差异;过多的样品可能导致燃烧不足和样品转化率低,更容易在系统中产生碳积累,从而影响仪器的使用和结果的稳定性。对于含硫量较低的样品,样品量稍有偏差,结果可能会有很大差异。因此,重要的是,通过协调两个平行取样的样本数量,确保数据不被高估。在分析紫外荧光数据时,样品量一般控制在100微米以下,最好控制在10至20微米之间,以确保数据分析的准确性,并且不存在导致气体路径上大量碳积累的不完全燃烧现象。
2.3系统参数设置
主要系统参数设置为:裂解温度、高硫压力。在裂解温度的实践中,将裂解温度设置在1000℃以下可能导致样品不完全燃烧。不利于SO2的产生,因此测定硫含量较低。同时,由于燃烧段温度设置较低,不利于样品的完全燃烧,使得燃烧过程中积累的碳容易形成,测量结果偏差较大。但是,当裂解温度设置为大于1的值时。000≤c(1050≥c),样品燃烧更完整,二氧化碳形成更少,是测量的最佳选择。2在硫高压试验中,当硫高压设置低于450V时,样品响应值的增加较高,会导致测量结果明显偏差。当达到450V时,样品响应值不再显着变化:当硫的高压设置大于450V时,样品响应值会下降,虽然下降趋势不明显,但也可能导致测量结果偏差。
3测量不确定度评估
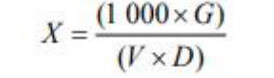
3.1数学模型
参照荧光分析法的检验标准构建汽柴油含硫量的数学模型,即式:
(1)式中:X为被检元素的含量(mg/kg);D为被测试样的密度(kg/m3);V为所加入样品的体积(μL);G为仪器显示硫的质量(μg)。
3.2测量不确定的来源
以数学模型和测试原理为基础进行分析,通过荧光标定法检验汽柴油中的含硫量,并明确不确定度因素的产生,本实验中不确定度产生包括:标准测量、重复测试、标准溶液浓度、体积以及密度测试等。
3.3测量不确定度的计算
3.3.1含硫量检测的标准工作曲线
使用荧光测硫仪对待测汽柴油的含硫量进行检测,以获得响应值信号,详细数据如表1所示。
运用最小二乘法结合上表中的数据拟合检测标准工作曲线,进而获得含硫量的线性回归曲线“ys”,即:
ys=60.39x+9.08
相关系数为R2=0.9995。
标准工作曲线的组成参数由5个标准点且每个点均进行3次重复的结果组成,即n=15,p=3。以线性回归解题思路可获得汽柴油样品含硫量检测标准工作曲线的残差值,即:
对汽柴油测试样品中硫元素含量进行检测,详细检测结果汇总于表2所示。由表2可测得汽柴油样品中含硫量的均值为:x柴油=4.40mg/kg,x汽油=2.20mg/kg。因x表示标准曲线下各浓度的均值,即x=3.60mg/kg,用“u(x)”表示检测工作曲线的拟合不确定,则:
由此可得柴油urel(x)=0.011,汽油urel(x)=0.022。重复测试引入的标准不确定度将待测样品进行10次重复测试,利用样本方差公式得出测试结果的标准偏差,详细数据如表2所示。
表2测试结果
可以得出重复测量不确定度u柴油(r)=0.0290;u汽油(r)=0.00389。柴油中硫含量的相对标准不确定度为0.0066;汽油中硫含量相对标准不确定度为0.017。
3.3.3体积引入的测量不确定度
用10μL的微量注射器可以精准取样10μL的液体,因此可设其扩展不确定k=2,U=0.01μL,则:
3.3.4样品密度引入的测量不确定度
通过数字密度计可得出密度测试结果为:柴油(ρ)=832.78kg/m3。参照设备的校准标准可得出,在650.0~1500kg/m3范围下数字密度计的扩展不确定度k=2,U=0.19kg/m3,则:
4汽柴油质量检验过程中的问题解决措施
4.1提高质检人员的专业素养和能力
为了充分应用各类技术,让汽柴油质量检验工作高效完成,需要配备更为专业和负责的工作和管理人员,对整个质检过程进行高效管控。对现有的工作人员,需要进行更加专业的培训,提高工作人员的职业素养和专业能力,改善汽柴油质检工作中存在的各种弊端。可以引进更多的高端技术人才和管理人才,充分利用当下的产教融合战略进行校企合作,并建立更为完善的奖惩体系和监督体系,提高工作人员和管理人员的工作效率。
4.2改善质量检验仪器,充分利用质量检验技术
在进行汽柴油质量检验工作时,需要高度重视质量检验仪器的使用和改善。在当下的汽柴油生产及使用领域,质量检验仪器相对落后,需要进行不断地更新升级,需要加强对质检仪器的高质量生产和对国外先进仪器的合理引入。在生产和使用前的质检过程中,需要准确判断相关的设备性能参数,依据质检过程的实际状况,进行生产的优化和合理采购。对于正在投入使用的检验设备,需要及时进行检查和维修。对于尚未投入使用的检验设备,需要进行定期保养,提高检验设备的使用寿命。
结束语
汽柴油中的硫含量是指存在于油品中的硫及其衍生物的含量,是保证用油的机械不受腐蚀和操作人员不致损害健康以及防止环境污染的重要指标。燃料中硫含量较多时,活性硫能够腐蚀油品的储运设备和机械的供油系统,非活性硫燃烧后形成SO2和SO3,遇水形成亚硫酸和硫酸从而腐蚀机械,而SO2和SO3排入大气会造成污染,同时大气中的二氧化硫含量增加,也会给人们的生活和健康带来严重危害。因此,做好汽柴油中硫含量的测定,对各炼油生产装置的防腐蚀工作能起到很大的作用,而且能够更好的保护环境,避免造成环境污染。
参考文献
[1]孙真东,许智银,封妍君,吴辰.紫外荧光法测定天然气中总硫含量[J].合成技术及应用,2018,33(01):56-60.
[2]吕冬冬,闻云,边晖,田小曼,闻环.苯胺类化合物对紫外荧光法检测汽油中硫的干扰影响研究[J].广东化工,2014,41(24):100-101.
[3]张文媚,闻环.解析石油化工产品中痕量硫含量的测定方法[J].化工管理,2014(05):74+76.
[4]苏华东,田萍,蔡艳波,王怀军.X射线荧光定硫仪在原油硫含量测定中应用的优越性及注意事项[J].中国计量,2008(05):113
[5]杨慧娟.紫外荧光法测定合成气中痕量硫含量[J].炼油与化工,2006(03):42-44+64.






京公网安备 11011302003690号