- 收藏
- 加入书签
山西省数字经济与共同富裕耦合协调发展水平研究
摘 要:数字经济是推动共同富裕的重要力量。当前数字经济持续性增长,不断促进效率与公平的统一,提高社会生产效率,为共同富裕的实现提供坚实的物质保障。本研究通过构建数字经济和共同富裕综合水平指标体系,运用耦合协调度模型,对山西省11个地级市的数字经济与共同富裕协调发展水平进行了量化分析。研究结果表明:数字经济在推动共同富裕方面发挥着积极作用,并且随着时间的推移,其协调等级呈现出逐步提升的趋势;全省数字经济与共同富裕耦合协调度总体偏低;绝大多数地级市的数字经济及共同富裕发展水平较低。针对山西省数字经济和共同富裕发展现状提出建议
关键词:数字经济;共同富裕;耦合协调模型
1. 引言
在2020年,我国实现了全面小康社会,但地区和城乡发展不平衡、收入差距问题仍需解决。李兴峰等(2024)提出,虽然共同富裕指数上升,但存在"东强西弱"的非平衡性[1]。张勋等(2019)发现数字金融对改善农村居民创业、促进机会均等化具有重要意义,证实了数字经济在推动包容性增长中的积极作用[2]。此外,张静坤、张旺等学者的研究指出,数字经济通过提供新的商业模式和发展路径,为农村地区带来了新的发展机遇,有助于缩小城乡差距,推动共同富裕的实现[3]。
数字经济不仅能为共同富裕提供物质基础,还能通过促进创业、就业和产业升级等方式提供重要支撑。共同富裕的实现也将促进数字经济的健康发展,形成良性互动。因此,研究数字经济与共同富裕的关系,对推动我国经济社会持续健康发展具有重要意义。
2. 数据来源与指标体系构建
数字经济与共同富裕是两个复杂的系统,本文借鉴已有的研究,在充分考虑数字经济及共同富裕基本内涵的基础上,分别构建山西省数字经济指标评价体系与共同富裕指标评价体系,如表1所示。
考虑到数据的可获得性,本文以2013~2022为研究期,数据主要来源于《山西省统计年鉴》、《中国统计年鉴》、中经数据、国家统计局。对于个别缺失值,本文采用线性回归方程补齐。
3. 数据处理与结果分析
3.1. 综合发展水平分析结果
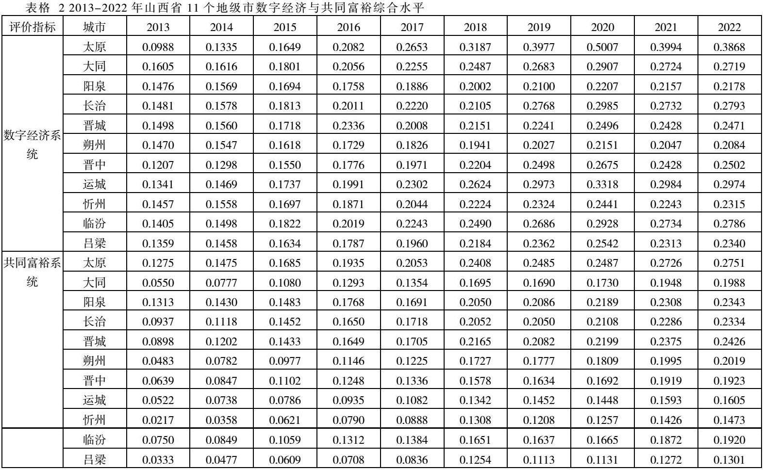
依据使用熵值法确定的各评价指标权重,并结合经过标准化处理的数据,对山西省内11个地级市的数字经济综合发展水平和共同富裕综合水平进行了计算。计算结果汇总于表2中。
数字经济部分,从横向角度分析,自2016年起,太原市的数字经济综合发展水平显著领先于山西省内其他地级市。相比之下,朔州市、阳泉市和忻州市的发展水平相对落后,位列末三位。纵向比较来看,在2016年之前山西省各地级市数字经济实际发展情况相接近,并未体现出明显的地域差异;在2016年之后各地级市数字经济发展速度开始出现明显的差异,除晋城市、临汾市发展较为曲折外,整体呈现出快速稳定增长的发展趋势,尤其是太原市发展水平远高于其他地级市。值得注意的是,2020年,受全国范围内新冠疫情的影响,山西省各地级市的数字经济综合发展水平普遍遭遇下滑,其中太原市受到的冲击最为严重。
共同富裕部分,横向比较来看,山西省各地级市共同富裕发展水平整体上稳步向上发展,根据实际发展情况可分为四个梯队:第一梯队为太原市,其发展水平高于其他地级市;第二梯队为晋城市、长治市,发展情况仅次于太原市,在山西省内属于发展水平中等偏上。第三梯队为朔州市、大同市、临汾市,其发展水平属于山西省中等水平,与第一梯队和第二梯队都有不小差距。第四梯队发展情况在山西省中水平较低,根据实际发展情况排名依次为运城市、忻州市、吕梁市。纵向比较来看,2018年山西省各地级市共同富裕综合发展水平出现明显波动,2021年后趋于平缓,在2013至2018年间波动较小,整体处于稳步发展期。截至2022年,运城市、忻州市、吕梁市共同富裕综合发展长期处于弱势地位。
3.2. 耦合协调度分析结果
2013到2022年,山西省11个地级市的数字经济与共同富裕耦合协调度均值为0.4149,属于濒临失调等级。从横向比较看,太原市的数字经济与共同富裕耦合协调度均值最高,为0.4876,属于濒临失调等级;吕梁市的数字经济与共同富裕耦合协调度均值最低,属于轻度失调等级。晋中市、运城市、忻州市、临汾市、大同市、阳泉市、长治市的数字经济与共同富裕耦合协调度均属于濒临失调等级;忻州市、朔州市的数字经济与共同富裕耦合协调度均属于轻度失调等级。从纵向发展趋势看,2011至2019年,各地级市数字经济与共同富裕综合发展水平均向更高水平发展,但绝大多数地区增长幅度不大。其中增长最快的是太原市,其次是长治市、晋城市。
整体来看,各年份山西省11个地级市中度失调、轻度失调、濒临失调的城市占80%以上。具体来看,2018至2022年,山西省11个地级市均达到濒临失调及以上等级,其中濒临失调占据主导地位,为80%以上,而初级协调仅占不到20%。但同时也应该看到,截至2022年,山西省11个地级市没有一个地级市的数字经济与共同富裕耦合协调度等级达到良好协调或优质协调,数字经济与共同富裕处于较低融合状态,需要进一步发展数字经济,赋能普惠金融,以促进数字经济与共同富裕的协调发展。
4. 结论与建议
4.1. 结论
2013-2022年山西省数字经济与共同富裕发展分析得出以下结论:数字经济在推动共同富裕方面发挥着积极作用,并且随着时间的推移,其协调等级呈现出逐步提升的趋势;全省数字经济与共同富裕耦合协调度总体偏低;绝大多数地级市的数字经济及共同富裕发展水平较低
4.2. 建议
根据研究结果,结合山西省的实际发展状况,我们提出以下几点建议。
4.2.1 倡导“技术—制度—创新”的发展新范式
(1)提升人才政策:山西省需加强本地人才政策,通过提高待遇和改善公共设施,吸引和留住人才,以促进数字化进程。
(2)引进先进经验:建议与沿海等数字经济发达省份建立合作关系,引进先进技术和管理经验,以推动省内制造业的数字化转型,降低成本。
(3)加大科研投入:鼓励和支持数字经济研究机构,重点研究大数据、区块链、物联网等关键技术,并将这些领域纳入省级社会科学研究重点,以推动创新发展。
4.2.2 深度挖掘并整合省内数字技术,促进实体经济与数字经济的融合
政府应积极出台相关政策,促进数字经济与实体经济的深度融合,紧抓实体经济作为突破口,实现数字经济与共同富裕的协同发展。
4.2.3 利用省会城市的辐射作用,推动技术与资源共享
太原市作为省会城市,应充分发挥其辐射和带动作用。相关部门和机构需共同努力,实现资源和技术的共享,减少地区间的发展差异。
4.2.4 建立应急管理体系,减少危机带来的经济损失
相关部门需加强对数字平台的监管,完善监测和预警体系,借鉴经济危机和疫情期间的经验教训,建立有效的应急管理体制,以减轻突发事件对经济的负面影响。
参考文献:
[1]李兴锋,王斌,王力.数字经济对共同富裕的影响效应与机制检验[J/OL].统计与决策,2024,(06):16-20
[2]张勋,万广华,张佳佳,等.数字经济、普惠金融与包容性增长[J].经济研究,2019,54(08):71-86.
[3]张旺,白永秀,张静坤. 中国式现代化共同富裕的时空分异特征及推进路径 [J]. 中国软科学, 2023, (01): 171-185.
[4]白茹,郭书岐,张丽.山西省数字经济发展水平测度指标体系的构建[J].商业经济,2024,(03):19-25.
[5]徐巧玲,李喜圆.山西省文旅产业融合发展评价与优化研究[J].经营与管理,2024,(01):177-185.
[6]郭显光.改进的熵值法及其在经济效益评价中的应用[J].系统工程理论与实践,1998,(12):99-103.
作者简介:宋健涛,太原工业学院经济与管理系,研究方向为财务管理;
李喜圆,太原工业学院经济与管理系,研究方向为企业管理;
王浩宇,太原工业学院经济与管理系,研究方向为财务管理
项目信息:太原工业学院省级大学生创新创业训练项目:《山西省数字经济促进共同富裕的理论机理与实现路径的研究》(S202314101226)



京公网安备 11011302003690号