- 收藏
- 加入书签
基于ARIMA的清洁电力预测
摘要:本文根据2008-2021年我国总发电量以及火力发电量占比,得出单位电量碳排放。以此作为时间序列数据建立ARIMA模型,利用SPSS和Stata数据分析软件进行分析建模。先对数据进行平稳化处理,一共尝试9种p、q组合,利用赤池信息准则(AIC)选取最优模型为ARIMA(0,1,2)。根据建立的模型对未来10年的单位电量碳排放做出预测,预测结果显示到2031年为0.539kgCO2e/kWh。
关键词:ARIMA模型;Stata软件;SPSS软件:碳排放;预测
1 引言
随着我国的不断发展,社会用电量也持续增加,由中电联发布的我国总发电量数据可知,我国总发电量从2008年至2021年基本保持稳定增速,每年增加量约3000多亿千瓦时,到2021年的总发电量为83768亿千瓦时。虽然我国目前主要的发电方式仍然是火力发电,但是随着我国环境保护意识的逐渐增强,火力发电占总发电量的比例也在逐年减少。我们通过往年的总发电量和火力发电量数据对未来10年的电力生产碳排放因子进行短期预测。
2 模型及假设
由于发电量是随时间变化且相互关联的数据序列,因此我们考虑采用时间序列模型中的差分自回归移动平均模型(ARIMA)。由于该序列具有趋势,可以通过差分法将其变为平稳序列,该模型中的自回归模型(AR)用于表示目前数值和过去数值之间的相关性。而移动平均模型(MA)关注的是模型中误差项的累积,能够有效的消除预测中的随机波动[1]。将三者方法综合起来,得到ARIMA(p、d、q)模型,d为差分阶数,该模型的基本公式为:
式中,yt为当前值,μ为常数项,p和q为阶数,γi为自相关系数,θi为误差相关系数,ct为误差值。假设:1.火力发电单位电量的碳排放量相同,且不随时间改变,该碳排放量包括电力生产、电力输送和能源开采过程;2.非火力发电量碳排放量为零;3.所用数据真实可靠。
求解ARIMA模型则需要确定p、q、d三个参数,其中参数d越高序列越平稳,但差分次数越多则会造成信息损失越多,因此差分后通过ADF检验即可。p的确定可以通过自相关函数图ACF判断,q可以通过偏自相关PACF图确定,但通过图像来判断阶数往往具有很强的主性,因此我们采用信息准则函数法来确定模型的阶数,常用的有AIC准则和BIC准则,通过该准则得到的结果越小说明该阶数的组合是更好的[2]。
3 模型求解及预测
3.1 序列平稳性处理
通过中国电力企业联合会官网查询2008-2021年的总发电量和火力发电量的数据,得出火力发电量占总发电量比例,单位电量碳排放数据来自《中国汽车低碳行动计划研究报告(2021)》,结合上述假设求得2008-2021年单位电量碳排放。本文使用IBM SPSS statistics 25.0和StataMP 16软件进行求解,Origin 2018作图。首先将碳排放数据可视化,由图1可知该序列不平稳。
对其进行一阶差分,利用Stata对其进行单位根检验。结果显示Z(t)值为-5.24,都小于各检验临界值,且p<0.05。因此,经过一阶差分后该序列变为平稳序列。
3.2 参数确定及估计
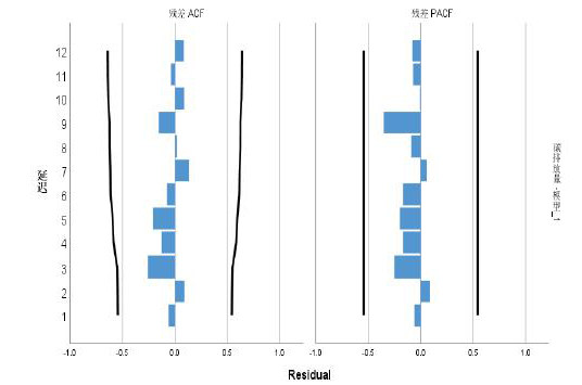
对原数列进行一阶差分后,做出其自相关图(ACF)和偏自相关图(PACF),分别用于确定参数p和q。由图可知,两者均不具备明显的拖尾和截尾特征。因此,通过尝试不同的值,采用AIC来选择最佳的组合。最终找出最优模型为ARIMA(0,1,2),其AIC值为-74.83666,AIC具体结果见表1。
利用Stata估计拟合ARIMA(0,1,2),得到基于一阶差分后数据的模型参数表2 ARIMA(0,1,2)模型参数表
C和β2在5%显著性水平上非常显著,β1显著性一般,得到模型公式为:
3.3 模型检验
另外该模型还需要对残差进行白噪声检验,即残差不存在相关性。通过Q统计量进行白噪声检验,得到Q值为2.1613,对应p值为0.7061大于0.05,说明接受原假设即残差为白噪声,该模型满足要求可正常使用,该模型拟合优度R2为0.958。另外,通过残差的ACF图和PACF图也可以看出都落在置信范围内。
4 预测结果分析
依据建立的ARIMA(0,1,2)模型对未来10年碳排放量做出预测,并给处预测图2。在模型的假设前提下,随着时间的递增,碳排放因子保持一定的下降速度,从图中可以看出预测结果和真实值基本符合,到2031年电力生产碳排放因子为0.539kgCO2e/kWh。
图2 电力生产碳排放因子预测结果
5 结语
我国的电网能源结构是以化石能源发电为主,为实现“双碳”目标,清洁电力是关键步骤。通过历史电力数据和ARIMA模型预测2021年至2031年的电力生产碳排放因子,到2031年数值为0.539kgCO2e/kWh。
电网清洁是至关重要的减排措施。另外,还需加强电网的建设以及改善电网的运行方式、功率分布等以减少电网线损。煤电作为我国目前电力安全的重要保障,虽需发展清洁能源,但在提升可再生能源发电占比的同时还需提升电力储存技术和电力调度能力,以防止发生大面积停电事故[3]。
参考文献:
王建成, 蔡延光 (2019). LightGBM算法和ARIMA算法在人口流动预测应用的性能的比较. 东莞理工学院学报, 26(5): 27-32, 44.
李雷孝,马志强,樊宇虹,赵岩.基于Hadoop框架和ARIMA算法的气象预测系统研究[J].内蒙古师范大学学报(自然科学汉文版),2014,43(02):219-224.
朱成章.煤电关乎中国能源安全刍议[J].中外能源,2012,17(01):29-32.






京公网安备 11011302003690号