
- 收藏
- 加入书签
水利工程防渗墙渗透系数公式计算及适用条件分析
摘要:防渗墙因其高工效、低造价、和良好的防渗效果而在水利工程中应用非常广泛, 本文通过对比室内、现场各种渗透试验的方法数据,结合相关水利规范中渗透系数的数学表达式来解析渗透系数K值的计算及适用条件、影响因素分析并提出建议。
关键词:截渗墙;渗透系数;注水试验
1 渗透试验参数解释及方法介绍
渗透系数是描述岩石或土壤介质对水分渗透能力的参数,通常用K表示,单位为cm/s或m/d等。试验水头为试验水位与地下水位之差,通常用H或h表示,是渗流现象能够发生的根本原因。渗透系数的测定主要分为室内测定、野外现场测定。室内测定主要通过室内渗透试验来测定介质的渗透系数,试验方法分为适用于粗粒土的常水头渗透试验和适用于细粒土的变水头渗透试验;野外现场测定则通过现场水文观测和试验来估计渗透系数,试验方法分为抽水试验、试坑注水试验、围井注水试验、钻孔注水试验、压水试验。
防渗墙通常设计渗透系数均小于1×10-5cm/s,且墙身强度不低于0.5MPa,室内试验方法和野外试坑注水试验、抽水试验方法均不适用于防渗墙的测定,目前常用试验方法为围井注水试验、钻孔注水试验,而围井注水试验主要用于施工工艺试验,受施工工期限制现场防渗墙实体常采用钻孔注水试验。
钻孔注水试验分为常水头注水试验和降水头注水试验,其方法理论依据是达西定律,达西定律是描述层流状态下渗透流速与水头损失关系的规律,适用于岩土工程绝大多数渗流。本文将以行标《水利水电工程注水试验规程》和地标《水利水电工程水泥土截渗墙试验测试规程》及工程地质手册等文献中相关计算公式来分析渗透系数及影响因素等。
2 常水头注水试验
常水头注水试验是指整个试验过程中保持水头差不变的渗透试验,其公式推导依据是渗出流量与过水面积和水力坡降成正比,且与土体渗透系数有关。此方法需要测定水头差和稳定的渗流量,试验段按照水上和水下部分分别计算。
2.1 试验段位于地下水位之上
试验段高出地下水位时,其渗流路径如下图所示
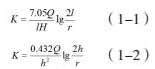
1)行标《水利水电工程注水试验规程》中渗透系数计算公式为:
式中:H(h)-试验水头,cm; l-试段长度,cm;r-钻孔内半径,cm;
试验段高出地下水位时,其渗透系数受干燥土层及毛细水影响,上述公式1-1、1-2采用了纳斯别尔格公式;按照规范条文说明,公式1-2的系数是在公式1-1系数的基础上,为了便于计算,把流量单位L/min公式1-1换算成cm3/s得到。笔者查阅相关规范及结果对比,发现规范公式1-2中系数0.432可能为书写笔误,应更正为0.423。
2)地标《水利水电工程水泥土截渗墙试验测试规程》中渗透系数计算公式为:
式中:b-防渗墙平均厚度,cm;H-试段高度,cm;H0-地下水位至孔底高度,地下水位低于孔底时取H0=0,cm;r-钻孔内半径,cm;
公式1-3是根据轴对称稳定流量方程推导而来,其前提是土体处于饱和状态,与公式1-1、1-2相比,此公式明确了轴向边界尺度,其计算结果更符合渗透理论。
2.2 试验段位于地下水位之下
试验段位于地下水位之下时,其土体处于饱和状态,渗流状态正常。
1)行标《水利水电工程注水试验规程》中渗透系数计算公式为:
式中:A-形状系数,cm;按规范附录B选用。
2)地标《水利水电工程水泥土截渗墙试验测试规程》中渗透系数计算公式见公式1-3
试验段位于地下水位之下时,行标计算引用了参数形状系数A,此参数与渗透坡降中渗流边界相关,是结合国内外相关规范和工程经验综合确定的数值,同样地标因明确了轴向边界尺度,其计算结果更符合渗透理论。
3 降水头注水试验
降水头注水试验是指在试验过程中水头差随时间变化的的渗透试验,较常用于渗透系数小、渗水量少的黏性土层。
1)行标《水利水电工程注水试验规程》中渗透系数计算公式为:
式中:A-形状系数,cm;按规范附录B选用。
2)地标《水利水电工程水泥土截渗墙试验测试规程》中渗透系数计算公式见公式为:
式中:H1、H2-孔口开始、终了水位,cm;t1、t2-开始、终了时间,s。
降水头注水试验与常水头注水试验基本原理一致,其推导公式是根据渗流的连续性,即渗流断面过水量等于孔内体积下降量,然后通过微时间与微高度积分运算得出。
地标中按水位情况给出不同计算公式,行标中未列出水上试段计算公式,但按照理论推算当土体处于饱和状态时可参照水下试段计算公式。同样与常水头注水试验相似,行标中降水头试验公式也引用了经验参数形状系数A。
4 压水试验
压水试验是根据压力与流量的关系确定岩土渗透特性的一种试验。根据岩土勘察规范及工程地质手册,当试验段透水性较小,压力流量曲线为层流型(即符合达西定律)时可近似计算渗透系数,公式如下:
式中:参数代表意义同上,单位换算成米/天;
压水试验与注水试验的区别在于压水试验其水压较大,换算渗透系数时水压需转换成水头压力,优点是高水头压力在克服致密黏土外围结合水膜阻力损失后其计算数据误差更小、数值更接近理论数值。
5 结语
渗透系数K值的计算理论依据是达西定律,其前提条件是渗流呈层流状态,纯砾以上粗土体(如堆石体)中渗流且水力坡降较大时的渗流和致密黏土(水膜阻力较大),其渗透系数计算误差较大。
在现行规范渗流计算中,行标《水利水电工程注水试验规程》计算公式引用的形状系数是综合经验数值(水上试段考虑了干燥土体影响),计算结果包含了工程经验的修正,试验终止条件也是隐含试验误差允许范围为10%,个人建议适用于龄期较短、现场时间受限和墙土分界不明显的防渗墙。地标《水利水电工程水泥土截渗墙试验测试规程》计算公式明确了轴向边界尺度,计算结果更符合理论数值,计算过程简单明了,明确适用对象为防渗墙,缺点是要求试验前土体饱和,试验周期较长,目前比对资料较少。岩土勘察规范中压水试验换算渗透系数,其较高水头压力可以减小试验结果误差,缺点是设备复杂,且试验方法未模拟工程实际情况,较高的水头压力与实际工程有一定的偏差出入,建议适用于致密黏土等起始坡降较大的墙体。
地下墙体复杂多变,目前的试验方法均为假定符合达西定律,计算结果也为平均结果且过程中影响因素较多,如泥浆钻进引起的孔隙堵塞、钻孔倾斜造成的偏位、施工工艺造成的墙体不均匀等都会造成较大的试验误差,试验者应根据现场情况综合选用计算公式。
参考文献::
[1]SL345-2007,水利水电工程注水试验规程 [S] 北京:中国水利水电出版社,2007
[2]DB34/T1928-2013,水利水电工程水泥土截渗墙试验测试规程 [S],合肥:2013