- 收藏
- 加入书签
基于耦合协调度模型的农村产业融合发展分析
——以石林县为例
摘要:改革开放后的40年间,石林县结合乡村振兴战略不断提高农业发展水平,农民生活质量得到提高,农村三产得到发展,但与此同时仍然存在农民收入不高,农产品市场竞争力不足等问题。文章针对产业融合痛点,采用实地调研法和农业多功能性理论等基本理论作为支撑,运用熵值法和耦合协调度法分析石林县三产融合趋势、融合程度,分析产业间的联动关系、指出融合缺陷,得出石林县产业融合发展过程中存在产业链短、产业间联动不足等问题,提出大力培育新型人才、打造品牌优势等一系列建议,助力石林县产业提质增效,促进该地区经济社会发展。
关键词:三产融合;乡村振兴;耦合协调度模型;熵值法
1 引言
在社会主义市场经济快速发展的今天,我国现代化建设的重要基础之一就是发展农业经济、农业和农民现代化[1]。20世纪90年代以来,中国农业和农村发展速度加快,农业的产量和质量明显提高,农村基础设施和农村福利制度得到提高,农民的可支配收入明显增加[2]。但不可否认的是,农村与其他发达地区和城市相比仍有较大差距,一、二、三产业发展极不平衡,目前农业发展过于强调粮食生产及其高增长,而对二、三产业挖掘不够,农村经济的大部分利润增长点仅来自二、三产业[3],因此如何增强农村二、三产业与一产业之间的联系以助力农村经济的发展成为值得关注的问题。2022年,党的二十大要求:“全面推进乡村振兴”“坚持农业农村优先发展”“扎实推动乡村产业、人才、文化、生态、组织振兴”“全方位夯实粮食安全根基”“牢牢守住十八亿亩耕地红线”“确保中国人的饭碗牢牢端在自己手中”[4]。
石林彝族自治县(简称石林县)位于云南省东部喀斯特山南部,气候属亚热带山地季风气候。2018年,石林县响应国家号召,积极促进支持创新创业,为农业农村发展提供新的动力。通过促进农村一、二、三产业的融合发展,完善土地流转制度和基础设施建设、建立服务平台等一系列举措,整合有用资源,形成从生产到制作再到市场的完整链条,推动了农业与旅游、教育、文化、卫生、养老等产业进一步融合,创造了4.5万多个就业岗位。2019年,农业农村部公示了全国农村一、二、三产业融合发展先导区创建名单,石林县被确定为全国153个农村一、二、三产业融合发展先导区之一[5]。
在此背景下,本研究以云南省石林县农村一、二、三产业在2012—2022年的各项数据为研究对象,建立衡量石林县农村一、二、三产业融合的数据模型,分析石林县农村一、二、三产业融合的现状、程度、取得的效益和存在的问题,并提出相关建议。
2 产业融合实证分析方法
2.1 数据来源
选取石林县2012—2022年各项数据进行分析,数据均来自《石林彝族自治县国民经济和社会发展统计公报》《昆明市统计年鉴》和《云南省统计年鉴》官方数据,部分数据经过简单计算得出。
2.2 评价指标构建
以往研究产业融合多选用层次分析法和灰色关联度法[6],计算权重时多采用熵值法[7]。这些方法在评价时都带有主观成分,不能切实地反映三产业融合之间的联动关系[8],也不能量化分析三产业的融合水平[9]。本研究采用客观的熵权法为评价指标赋权,计算指标综合评价得分[10],结合耦合协调度模型计算石林县农村一、二、三产业之间的融合程度和彼此之间的耦合协调度。为客观全面的构建指标体系,本研究从3个层面评价石林县的产业融合状态(A)。其中,一级指标包括农业与关联产业融合情况(A1)、经济社会效益(A2);设置二级指标共4个:农业产业链延伸(B1)、农业多功能性发挥(B2)、经济效益(B3)、社会效益(B4)。三级指标包括含烤烟收购总量(X1)等指标共16个,选取的各项指标详见表1。
2.3研究方法
2.3.1 熵值法分析。由于各项指标的单位不同,无法进行比较,需要进行数据的归一化处理[11]。公式中,假设对象共m个,评价指标有n个,表示第i年指标j的数据。
公式(1)至(5)中,为差异系数,Xij为第i年第j项指标的值,max(Xij)为第j项指标的最大值,min(xij)为第j项指标的最小值。
2.3.2耦合协调度模型计算。耦合协调是对两个或多个子系统之间的互动和相互依赖程度的评估,“耦合协调模型”被用来分析子系统之间的互动程度和系统之间的协调程度[12]。耦合协调度模型有3个指标值,分别是协调指数(T),耦合度(C)耦合协调度(D)[13]。耦合度指两个部分之间互动的强度,而不考虑其优势或劣势,协调度是指众多子系统之间相互联动的正向积极的耦合程度,它体现出协调的正向性[14]。耦合协调度(D)值通过协调等级划分标准进行分析,得出各子系统耦合协调程度[15]。
(1)使用算数平均数法计算石林县农村一、二、三产融合的协调度T[16],公式如下。
公式(7)中,α、β、μ为待定系数,S1、S2为变量。
(2)计算耦合度C,耦合度C的取值范围是[0,1][17],当耦合度等于1时,说明石林县农村一、二、三产业各系统间的融合实现了良性耦合[18],公式如下。
(3)计算耦合协调度D,耦合协调度D的取值范围是[0,1][19],当耦合协调度D等于0时,说明石林县农村一、二、三产融合系统之间协调状态最差,当耦合度等于1时,说明耦合协调度D协调状态最佳[20],公式如下:
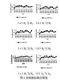
耦合协调度等级划分依据见表3。将表2结果代入耦合协调度模型,计算4个二级指标、两个一级指标之间的耦合协调度。其中,C12表示B1与B2间的耦合度,D12表示B1与B2间的耦合协调度,以此类推;各级指标之间的耦合度与耦合协调度情况见表4与图2,其中由于B2与B3之间缺乏负向指标,不进行计算。
3 实证结果与分析
3.1 指标体系分析
Xij为归一化后的数据,熵值法计算结果见表1。
根据所得权重进行简单的加权求和,得出各指标综合得分见表3,并对两个一级指标和系统综合得分进行描述,结果见图1。
从表2中的综合得分情况来看,一二三产业融合发展的得分整体上呈现上升趋势,但不同子系统在整合过程中相互影响的程度仍需深入研究,需要应用耦合协调度模型具体计算分析石林县产业融合水平和联动关系。
3.2 耦合协调度分析
图2(a)中,农业产业链延伸B1与农业多功能性发挥B2两项二级指标得分较低,二者之间最终的耦合协调度2012年为轻度失调,随后3年提高为勉强协调,最终发展至初级协调,暴露了产业链延伸与多功能性发挥对产业融合的贡献率有限,农业功能单一,趋向于简单的种植生产,大大降低了农民的生产积极性;从生产要素来看,石林县农村地区普遍缺乏生产要素和基础设施,耕地撂荒和土地污染现象使得农作物产量不高,当地劳动者多为本地中老年人、弱势群体,缺乏高级知识型、技术型人才,延缓了现代科技和现代农业管理的发展,因此在数据上体现出农业多功能性发挥综合得分较低、经济效益与社会效益联动不足的特点,未来应在不断创新农业发展模式的基础上更多更公平地惠及全体农民、缩小城乡差距,制定相关政策措施提升乡村经济效益和社会效益。
4改进建议
4.1助力乡村全面发展,缩小其与城市的差距
石林县要推进农业农村现代化,实行产业融合是必经之路,二者之间是互相推动的关系。城乡一体化要求石林县关注实际的民生痛点,完善基础设施建设,完善对农民的收益分配机制和权益保护体系;在逐步缩小城乡差距的过程中,农村可保留传统的种植与养殖产业来保障人口对食物的基本需求,但要向着创新生产方式、改革生产组织形式、延长农业产业链、完善农业保障制度、增加产品附加价值的方向发展。
4.2打通产业融合的各个环节,解决融合痛点
在土地资源方面,进一步推进石林农村土地制度改革是盘活农村资源的基础和前提,应不断完善农民收益分配机制,建立健全产业融合方面的法律法规;创新生产方式和组织形式,大力扶持高新科技的研发和应用;制定优惠政策来吸引先进企业和高级技术人才,完善教育体制,从根源上解决人才短缺、农民教育水平低下等问题;通过延长产业链提供更多的就业岗位,实现该地区可持续脱贫,形成良性循环;同时,吸引外资,为国内优秀企业开绿灯,鼓励有实力的企业前往石林县投资。
4.3大力延长农业产业链,增加农民可支配收入
石林县农业产业已经较为完善,近两年种植业的规模和种类已经有了明显的发展,但是现有的农产品加工业以复烤烟叶、卤腐等为主,对于农产品进一步的加工和销售还停留在较为落后的阶段。首先,要立足于本县气候适宜、资源丰富的特点,发挥农产品加工业的龙头作用,积极推动全产业链和价值链的发展,进一步扩大农产品的多样性,提高农产品的销售质量,打造可靠的农产品品牌,利用品牌效应,提高农产品的附加值。其次,以发展、融合、互助为重点,优化农产品的产业模式,引导县内各农业产业园区向打造产业集群方向发展,集群发展将缩小产品加工过程中的运输费用,继而减少产业发展的成本,实现产业之间互相带动,取得集聚红利。
4.4立足文旅农优势资源,充分发挥农业多功能性
石林县有丰富的农业基础,各园区内广泛种植花卉、水果、蔬菜、粮食和诸如烟草的经济作物,凭借这一优势,可以履行各种农业职能,建立和发展现代农业产业园。(1)依托有利的农村资源,石林县可以因地制宜,发展相关产业和产品,形成具有地方特色的农业产业,打造诸如“十里香茶”等农业优质品牌,吸引消费者,创造农业高收入;推动乡村旅游休闲服务第三产业的发展是重点。(2)根据调查数据,石林县景区旅游直接收入呈明显的下降趋势,这一结果暴露出石林景区产业单一、对游客吸引力下降、难以赢得“回头客”的痛点。近几年乡村旅游、生态农业旅游和农村市场需求的逐步增加,尤其在2023年初随着新冠肺炎疫情结束,国内旅游业强劲复苏,石林县政府应抓住机遇,扶持杏林大观园等几个大型特色产业园发展,立足于石林县彝族特色文化积极发展旅游业,使游客在观光、歌舞、节庆、美食品尝、住宿、惊险旅游等方面有新的体验。(3)利用喀斯特地形地貌、气候优势发展特色综合型、具有高附加价值的产业,如阿诗玛文化园,具有露营夜游、生态养老、天然温泉、民族村落、观光采摘、文化娱乐等功能,形成品牌优势,打造一批具有市场辨识度、市场竞争力的品牌产品,打出品牌效应,从而打造一系列具有延伸性的农村产业。
4.5完善农业相关保障福利制度,提升农民经营信心
由于石林县多年来遭受冰雹、洪涝、干旱等气象灾害的影响,给农业生产造成影响,农民承受了巨大的损失。因此,为促进石林县农村一、二、三产业融合发展,政府要从制度上解决农民创业和投资的后顾之忧,要建立健全保障机制,加大财政补贴力度,建立转移支付、金融政策等相关公共政策资源,从法律上保护农民,防止农民因自然灾害而承担过大的损失以及因知识和信息不对称造成的投机性贬值;石林县政府还应该进一步制定农村产业整合的法律框架,完善各种农业支持措施,如价格补偿,以帮助农民度过因生产和贸易条件不佳而形成的困难时期,保持生产积极性。
参考文献:
[1]黄奕竣睿,李佛关.农村物流与农村一、二、三产业融合发展研究——基于重庆市万州区黄柏乡的案例分析[J].现代农机,2023(2):46-48.
[2]杨巧英.北京乡村一、二、三产业融合发展用地保障机制研究结题会召开[J].今日国土,2023(增刊1):20-21.
[3].云南玉溪:稳步推进食用菌一、二、三产业融合发展[J].中国食用菌,2023,42(1):61.
[4]习近平.高举中国特色社会主义伟大旗帜为全面建设社会主义现代化国家而团结奋斗[N].人民日报,2022-10-26(1).
[5]农业农村部关于印发全国农村一、二、三产业融合发展先导区创建名单的通知[J].中华人民共和国农业农村部公报,2019,(02):34.
[6]朱新宇.乡村振兴背景下内蒙古农村电子商务与一、二、三产业融合发展研究[J].商业经济,2023(3):59-62.
[7]石天赐,戚振宇.农村一、二、三产业融合的利益联结机制研究[J].商业经济,2023(2):122-124.
[8]梁春峰.山西汾阳市一、二、三产业融合发展研究[J].农业工程技术,2022,42(35):4,6.
[9]祁凯亭,张继泽,张爱儒.青海省农村产业融合发展水平测度研究[J].中国果菜,2023,43(3):70-74,84.
[10]顾明.乡村振兴视角下渝东南地区农村一、二、三产业融合发展研究[J].南方农业,2022,16(9):61-65.
[11]滕杨.河南省农村一、二、三产业融合发展水平及其对农民收入的影响研究[D].郑州:河南农业大学,2022.
[12]任森春,孙红伟.农村金融集聚与产业融合耦合协调性研究[J].河北工业大学学报(社会科学版),2023,15(1):18-26.
[13]郁晓梅.农村一、二、三产业融合发展对乡村经济的助力[J].商业文化,2022(4):24-25.
[14]顾丽叶.昌吉州农村一、二、三产业融合发展研究[J].中国经贸导刊,2021(20):63-64.
[15]梁根琴.新时代背景下赣州市农村三产融合发展研究[J].南方农业,2021,15(27):162-163.
[16]陈志莹.乡村振兴战略下乌鲁木齐县农村一、二、三产业融合发展研究[D].新疆农业大学,2021.
[17]骆书发.西畴县农村一、二、三产业融合发展研究[J].农业与技术,2021,41(14):166-168.
[18]刘战伟.乡村振兴背景下河南省农村一、二、三产业融合发展水平分析[J].许昌学院学报,2021,40(3):123-129.
[19]吕玫萱,王洪生,夏群.农村一、二、三产业融合发展综合评价研究——以山东为例[J].科技与经济,2021,34(2):51-55.
[20]王丽.乡村振兴战略下武威市推进产业融合发展的对策建议[J].甘肃农业,2023(4):9-13.
作者简介:李宥霖(2001.03-)女云南省昆明市汉族本科研究方向:土地资源管理




京公网安备 11011302003690号