- 收藏
- 加入书签
往复压缩机组疑难故障排除方法的研究与运用
摘要:在当前经济转型和高质量发展的大背景下,工业领域的设备稳定性和效率提升成为推动产业升级的关键因素。往复式压缩机作为石油化工行业中不可或缺的核心设备,对其运行效率和稳定性提出了更高的要求,但是由于设备使用年限的增加和工况的复杂化,往复式压缩机组在运行过程中出现的疑难故障日益增多,严重影响了设备的整体性能,还可能导致生产停滞,所以迫切需要采用有效的故障排除方法,尽快恢复往复压缩机组的正常运行,保障石油化工行业的高效生产和稳定运行。基于此,本文将围绕往复压缩机组的故障诊断与排除技术,探讨其在实际应用中的有效性和可行性,以促进石化行业生产的高效和安全。
关键词:往复压缩机组;疑难故障;排除方法
在石化产业中,往复压缩机组通常承担着高温、高压、易燃易爆等严苛工况下的工作任务,其运行的稳定性直接关系到整个生产过程的顺畅与安全。任何小的故障或停机都会导致生产中断,进而影响整个生产周期,甚至可能造成安全隐患。鉴于此,降低往复压缩机组故障率、提高故障处理速度对于保持生产线的连续运行具有重要的作用。相关技术人员在日常作业中不仅需要掌握往复压缩机组的运行原理与故障特征,还应根据实际出现的问题,采取科学合理的应对措施,最大程度地减少往复压缩机组的停机时间,保障石化产品生产线的高效运行。
1往复压缩机组疑难故障排除技术难点
1.1结构复杂,零部件多
往复式压缩机组的组成部分通常包括气缸、活塞及活塞杆组件、气阀、曲轴、支撑轴承、连杆、十字头、活塞环、导向环、填料及填料函组件、刮油环等多个关键部件,这些部件在高温、高压等极端工况下共同协作,任何一部分出现故障都可能引发整个系统的异常运行。同时,往复式压缩机组的工作环境复杂多变,设备在运行过程中承受着频繁的负载变化和温度波动,使得故障源多种多样,且往往难以迅速定位。往复压缩机组的使用年限和工况的变化也使得故障表现形式更加多样,再加上机组故障的隐蔽性和复杂性,可能无法及时有效地解决设备的故障。
1.2零部件失效隐蔽,故障点多
往复式压缩机零部件的失效往往不会立即表现为明显的故障症状,而是逐渐积累,导致性能下降或不稳定,增加了故障诊断的难度。此外,往复式压缩机的运作过程中,负载波动和温度变化等因素会对设备产生较大影响,造成设备工作条件的频繁变化,使得故障的发生点可能分布在多个环节之间,涉及到机械、液压、气动、电气仪表等多个系统。加之往复压缩机组本身安装方式的差异,以及外部环境的影响,常常需要通过逐步排查和多方验证才能确认故障原因。
1.3仪表控制系统极为复杂
石油化工行业中往复式压缩机组的仪表控制系统通常由多种类型的检测探头、传感器和控制机构组成,涵盖温度、压力、流量、振动等多个监测参数,以确保设备在各种工况下的稳定运行。每个探头和传感器的工作精度和响应速度对压缩机的性能有直接影响,任何环节的异常都会导致控制系统出现误差或失效。技术人员在进行故障排除时需要掌握每种机型的独特特性和调试参数,对技术人员的专业能力和综合素养提出了很高的要求。
1.4故障现象多样
实际上,往复式压缩机组的同一类故障可能由于多种因素的叠加或运行条件的不同而表现出不同的症状。例如,气阀故障可能导致压缩机运行不稳定,但根据故障发生的部位和程度不同,可能表现为振动异常、压力波动或气流不均、温度异常上升等多种不同现象。与此同时,不同类型的故障也可能在外观上产生相似的表现,这种现象尤其容易导致误诊和判断失误。比如,密封失效、轴承损坏或气缸磨损、管线应力等不同问题,可能都会引起振动增大或噪音过高,技术人员可能根据这些外在表现错误地将不同故障类型混淆。加之往复式压缩机组运行中可能同时存在多种故障,这种“故障叠加效应”进一步增加了故障排除的复杂性。
2往复压缩机组疑难故障排除常用方法
2.1逐项排除法
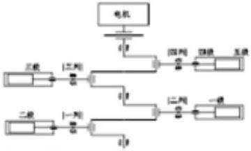
逐项排除法是一种通过系统性地检查和排除各个可能故障点来解决问题的故障排除方法,尽管这种方法非常全面,但通常也需要耗费大量时间和精力。在石油化工行业中的往复式压缩机组中,当出现难以快速定位的复杂故障时,逐项排除法显得尤为适用,该方法通过逐一检查设备的各个组成部分,从最基础的部件到复杂的控制系统,逐步消除可能的故障源,最终确定故障所在。值得注意的是,逐项排除法要求技术人员对往复压缩机组有全面深入的了解,并能够结合经验和技术手段,从最简单的因素开始排查,逐步锁定故障的根本原因。尽管逐项排除法能有效解决一些难以定位的问题,但由于其涉及的工作量大且过程繁琐,通常只能在遇到特别复杂或未曾见过的故障时采用。案例一:2024年1月,扬子石化某装置往复式空压机(型号:4M10,制造厂:沈阳远大,四缸五级往复式压缩机,平面布置图如右图所示)二级缸水夹套上方放空阀,排出压缩空气;现场检查发现,二级活塞填料函用冷却水与进缸体水夹套共用一个进出口总管,检查一级、三级缸体上方放空阀,均无气体排出,采用排除法,分析认为二级活塞填料函函体级间密封O圈泄漏,导致压缩气体通过泄漏点进入冷却水,进而排入水夹套内。停机检修后,检查二级填料函,发现O圈(规格:Φ1.8×135mm)已弹出槽道,被压扁;进一步蓝油检查平面度及接触情况,发现填料函体端面已变形,接触面偏小。
2.2参数分析法
参数分析法主要依赖于对压缩机组在正常运行过程中产生的关键参数,比如说压缩机的压力、温度、功率消耗等进行全面检测和数据的连续采集,从而全面了解设备的工作状态。当设备出现异常时,参数分析法通过对比历史数据和当前运行数据,能够迅速发现异常变化并从中推测故障类型。此外,参数分析法还常常结合振动分析仪、温度传感器、压力表、红外热像仪等专业仪器,针对设备的关键部位如轴承、气缸、活塞等进行精准测试,从而定位故障源。在对往复压缩机组使用参数分析法后,不仅可以有效诊断出故障发生的位置,还能提前发现潜在的风险,进行预测性维护,避免设备故障的蔓延或停机事故的发生。与传统的故障排除方法相比,参数分析法能够更高效、精准地识别问题,尤其适用于那些故障表现不明显、难以通过肉眼直接观察的隐蔽性问题。然而,参数分析法也要求技术人员具备扎实的理论基础和数据分析能力,能够准确解读设备参数的变化趋势,结合实际工况做出科学的判断。
2.3工艺流程分析法
工艺流程分析法是一种通过检查和分析往复式压缩机组内部各个工艺流程来识别和解决疑难故障的有效方法。通过逐一检查这些关键流体的流动情况、压力、温度以及质量等参数,可以有效地诊断出往复压缩机组可能的故障原因。例如,冷却水流量不足或温度过高可能会导致压缩机的过热,从而影响其性能;润滑油的质量和流量不稳定则可能导致轴承磨损或其他机械故障;燃气或空气的流量、压力波动也可能引发压缩机运行不稳定,甚至出现停机故障。工艺流程分析法通过对这些工艺介质的检查,能够帮助技术人员识别出哪些环节可能出现了问题,并分析故障的根本原因。此方法不仅适用于排查已知故障,还可以通过对工艺流程的全面分析,提前发现潜在的风险因素,避免设备故障的发生。
2.4状态监测法
状态监测法包含多个方面,振动监测能够检测到压缩机组中各个部件的状态,如轴承、齿轮、活塞等的磨损或不对称情况,因为振动频率和幅度的变化通常能反映出设备的运行健康状况。噪声监测则可以帮助检测到设备内部机械运动不正常或气流不均等引起的噪声异常,这些异常往往是故障发生的前兆。此外,性能趋势监测通过记录设备在不同工况下的运行数据,能够识别出系统性能的逐步下降,如压缩机效率的降低、功率消耗的增加、易损件的磨损等,从而及早发现潜在的故障风险。状态监测法的显著优势是它的预警能力,能够在设备发生严重故障之前,通过监测到的微小变化或趋势波动,及时发出警报,帮助技术人员进行预防性维护或调整,避免故障的扩大或停机事故的发生。案例二:2024年11月,扬子石化某装置往复式空压机(型号:4M10,制造厂:沈阳远大,四缸五级往复式压缩机,平面布置图如上图所示),四五级活塞杆下沉位移ZT-3204波动较大,11月17日至19日,相继出现上涨趋势,进而达报警值,波动范围值约0.30mm,波形图如右图所示。首先对仪表回路进行检查,排除了仪表回路的误指示故障。进而分析认为可能四五级活塞的导向环磨损;停机检修,拆出四五级活塞导向环,发现导向环与图纸尺寸相比较,厚度磨损约0.30mm,与监控报警数据相吻合。因状态监测及时报警,及时停机检修,才避免一起活塞拉缸设备事故的发生。
2.5综合分析法
综合分析法是结合了多种仪器和分析手段,针对往复式压缩机组的疑难故障进行全面系统诊断的先进方法。这种方法不会仅依赖单一的检测工具,而是通过综合运用振动分析仪、温度传感器、压力表、声波探测器、红外热像仪等多种仪器对设备的各个方面进行监测,同时还结合数据分析软件进行趋势分析、频谱分析等,从多个角度对设备状态进行全面评估,从而揭示出往复压缩机组中潜藏的故障源,帮助技术人员准确识别问题的根本原因。综合分析法的优势在于它能够将多个检测结果进行交叉验证,从而排除单一故障诊断方法可能存在的误差或遗漏,确保诊断结果更加准确。同时,这种方法能够识别出设备内部多个系统之间的相互影响,通过系统性地分析和判断,确定故障的真实位置和原因,并在一定程度上延长往复压缩机组设备的使用寿命,保证生产的稳定性和连续性。案例三:2024年11月,扬子石化某厂氮气压缩机(型式:立式二列二级双作用无油润滑水冷闭式迷宫活塞往复式,制造厂:江阴压缩机厂,设备参数如右图所示)大修,检修完成运行约72H后压缩机异常跳车,再次启动未能成功,进而又发现盘不动车。再次解体检修,发现曲轴驱动侧发生断轴事故(如右图所示),厂设备专业及检修单位根据断轴截面分析,判断认为轴内部沿进油孔部位有旧的裂纹缺陷,在交变应力的作用下,加速了疲劳断裂,现该轴已送专业单位作进一步的原因分析。该曲轴在首次检修时,业主单位安排对曲轴轴径部位进行了PT检查,均未发现异常。业主单位未对该曲轴进行超声波检查,也是错过了提前发现曲轴内部缺陷的机会。
案例四:2024年3月,宁夏能化BDO装置氢气增压压缩机(型号:3SZS190,制造厂:德国诺曼艾索公司)驱动端轴瓦温度由51.8℃快速升高至61℃,报警值63℃,经分析驱动端轴瓦损坏的可能性较大,需解体检修。经解体检查发现:驱动端上下轴瓦靠飞轮侧半面周向碾瓦(如下图所示),巴氏合金堆积。上下瓦止推面巴氏合金层磨损脱落,有明显偏磨,分析曲轴在旋转过程中存在轴向位移。
进一步对曲轴发生轴位移的原因进行分析,存在以下情形:
由于设备安装时精找正调整不到位或基础沉降,曲轴箱下箱体非驱动端法兰面水平度:纵向-0.09mm,横向-0.08mm,曲轴在安装后随箱体水平趋势一致(倾斜),造成活塞,十字头,连杆重合中心与曲轴轴线不垂直,运行中,受交变载荷作用力的影响,导致曲轴发生轴向位移。
由于机体的水平偏差,安装在气缸,滑道中的活塞,十字头及连杆存在质量偏心,各零部件之间承受的力会发生不平衡,在运行中,发生跳动,加大了摩擦,产生的附加外力作用在曲轴上,导致曲轴轴向位移。
电机联轴器与飞轮连接弹性柱销老化,局部不均匀磨损,在飞轮螺栓孔中间隙偏大,起不到补偿作用,也会造成机体振动,瓦温升高,曲轴轴向位移。
机组开机升压过程中,未严格按规程操作,升压过快,导致曲轴轴向位移。
3往复压缩机组疑难故障的修复方案
3.1轴瓦、轴衬磨损的修复
轴瓦、轴衬磨损是往复式压缩机组中常见的问题,通常由于润滑油膜缺失或油膜破裂,导致轴瓦与曲轴轴颈之间直接摩擦,进而造成严重的机械磨损。修复轴衬磨损时需要对整个压缩机组进行全面的检测,确保所有相关部件的状态被准确评估,并确认哪些部件已经损坏或出现异常。检测完成后,必须更换所有已损坏的零部件,特别是轴衬、轴瓦以及相关的润滑系统部件。更换过程中,严格控制安装间隙,以保证修复后的部件能达到最佳配合状态,从而避免重新发生磨损问题。除此之外,修复过程中还需要对十字头进行仔细检验,确保其未受到过度磨损或变形,并修磨印迹以恢复其正常工作状态。对于滑道和隔离室等部件,也需要进行清洁,去除可能积累的杂质和污垢,确保其在修复后的密封性和流动性良好。在更换刮油环和填料函时,要确保其与原有结构的匹配性和密封效果,防止油液泄漏或污染物进入系统。最后,必须对活塞和气缸的安装状态进行严格检查,确保它们在修复后能平稳运转,不再出现泄漏或摩擦问题。整个修复过程不仅涉及到部件的更换和修理,还需要彻底清洗所有相关部件,去除残留的油污和杂质,避免影响修复效果,确保设备在修复后能恢复至最佳工作状态。
3.2管路振动的修复
当活塞以高频率在气缸内做往复运动时,其产生的惯性力会对压缩机的整体结构施加周期性振动,而气体在管道内因压力波动引发的脉动则进一步加剧了管路的振动幅度。这种双重作用不仅影响管道和支撑结构的稳定性,还可能对压缩机组的整体运行可靠性和寿命构成威胁。特别是在运行工况接近管道的固有频率时,管道更容易产生共振,从而放大振动强度,引发管壁开裂、连接件松动以及设备异常磨损等问题。为有效控制这一问题,在工程设计阶段需要充分考虑管路的长度、直径、支撑布局和材料特性,尽量避免设计出与共振频率相匹配的管路。此外,还应通过优化支撑点的位置和刚度来提高管路系统的抗振能力,并结合阻尼器、柔性接头等装置吸收振动能量,降低振动传递至其他部件的可能性,显著减少管路振动问题对设备运行的影响,提高石化往复式压缩机组的运行稳定性和安全性。
3.3排气量不足的修复
由于过滤系统或气流通道的堵塞,尤其是在过滤器和入口阀的维护不当时,杂质和污垢会逐渐积累,导致气流受阻,导致石化行业往复压缩机组总排气量不足。因此,工作人员需要定期检查并清洗过滤器和入口阀,确保它们在最佳状态下运行,避免气流通道被阻塞,保持良好的气流畅通性和正常排气。在此基础上,若排气温度出现异常升高,可能与压缩机组内部的热交换过程出现问题有关,特别要关注中间冷却器的制冷效果是否充分。除了需要检查冷却器的运行状况,还应特别关注其中是否存在水垢或污垢积聚的问题,因为水垢会显著降低换热效率,进一步加剧温度异常。解决这一问题,除了定期清洗冷却器,保持冷却水的流畅和清洁外,还可考虑使用除垢剂等化学方法来清理水垢,确保中间冷却器能够保持最佳的换热性能,使得往复压缩机组在正常工作温度和流量下运行,从而有效提高排气量,确保压缩机组的运行效率和系统的稳定性。此外,排气温度出现异常升高,还需要检查排气阀是否泄漏,如有故障需要更换新的气阀。按设备出厂说明书要求定期对往复式压缩机进行计划性检修,更换易损件,包括活塞环、导向环、填料、刮油环等,也是保证往复压缩机组正常运行的常用手段。
4结束语
总之,逐项排除法、参数分析法、工艺流程分析法、状态监测法和综合分析法等多种诊断手段,都可以在排除往复压缩机组疑难故障时使用。在修复设备故障过程中,要针对轴瓦轴衬磨损、管路振动、排气量不足等常见问题,结合实际操作经验,提出了详细的修复步骤和注意事项,确保设备的高效运行和长期稳定性,为石化行业的生产安全与稳定保驾护航。
参考文献:
[1]唐行光.循环氢压缩机K101推力环损坏故障分析与处理[J].齐鲁石油化工,2022,50(2):149-152.
[2]叶景策.分析往复式压缩机的维修方法及技巧[J].化工管理,2019(30):141-142.
[3]刘宏朝.往复式压缩机故障修复及维护[J].内燃机与配件,2021(8):142-143.








京公网安备 11011302003690号