- 收藏
- 加入书签
基于改进GSA 算法的风光场站并联机组一次调频同步控制
方法摘。要本:文在运风用光混场合站整并数联非机线组性的模运型行来管预理测过电程力中系,统通短常期采的用频P率ID偏 算差法态势的,固并定据控此制确参定数一进次行调一频次的调控频制处目理,标然。而结这合种PID方 法控忽制略算了法工和作功场率景分的配动算态法变,化本,文导搭致建调了频面后向电风力光系场统站的并频联率机偏组差的仍同然步较调大频。控因制此框,架本,文并提将出控了制一目种标基引于入改其进中G,S从A(而引得力到搜初索始)的算调法频的控风制光方场案。站依并联托改机进组一的引次力调频搜索同算步控法制,关键词:改进GSA 算法;风光场站;并联机组;一次调频;模型预测;PID 控制;
中图分类号:TM761 文献标识码:A
0 引言
为了满足电力行业的低碳化、绿色化发展要求,风力发电、光伏发电等技术等到了有效应用,逐渐在电力系统内占据一席之地。通过正确应用清洁性能源,缓解了电力系统运行污染问题,但风光发电的不确定性,也对电力系统频率稳定性产生直接影响,最明显的表现就是系统频率偏差问题频繁出现。对于包含风光场站并联机组的电力系统来说,一旦出现频率偏移情况,后续极有可能引发连锁故障。因此,针对风光场站并联机组一次调频控制方法进行研究,从解决频率偏移问题、保证新能源电力系统稳定运行的关键。
从现有的研究成果来看,程序等人提出基于模型预测控制的一次调频控制策略[1],通过构建电力系统频率响应预测模型,确定短期内一次调频控制目标。并以频率偏差最小化、储能出力最小化为目标,定义调频控制优化数学模型。采用滚动优化的方式,求出满足多方面要求的调频控制方案。该方法动态响应速度较快,但多源协调不足,导致调频控制后电力系统频率偏差依旧较大。苏嘉豪等人提出基于变下垂系数的一次调频控制策略[2],应用Logistic 函数,捕获变下垂频率传递特性,借此构建变下垂虚拟同步发电机控制策略,与双闭环控制策略相结合,生成一次调频协调控制方案该方法能够适应复杂环境,但受到出力与负荷预测误差的影响,调频控制后电力系统频率偏差依旧较大。田春筝等人提出基于模糊控制与风速分区的一次调频控制策略[3],考虑机组在不同风速条件下的工作特性,对整个调频控制区域进行划分,形成多个控制子区域。面向每个子区域,分别构造模糊逻辑控制器,以便根据具体需求完成一次调频控制处理。该方法具有较强的抗干扰能力,但模糊规则库覆盖不足,导致调频控制后频率偏差依旧很大。王俊月等人提出基于自适应 SOC 的一次调频控制策略[4],结合虚拟惯性控制思想和虚拟下垂控制思想,构建一次调频控制模型,并引入设备运行约束条件,修正调频控制模型参数,保证模型的调频控制能力。该方法经济成本较低,但随机设置的SOC 自适应控制参数不合理,导致了调频控制后电力系统频率偏差增大。为了弥补现有方法的不足之处,提出基于改进GSA 算法的一次调频同步控制方法。明确调频控制目标,并构造出PID 同步调频控制架构。依托于该附近GSA 算法强大的自适应寻优能力,对PID 控制参数进行动态调节,以便生成符合实际环境要求的最佳调频控制方案,为风光场站机组的安全运行打下基础。
1 设计基于改进GSA 算法的风光场站并联机组一次调频同步控制方
针对电力系统频率偏差态势进行预测,是并联机组一次调频控制的前提[5]。将混合整数非线性优化模型应用到频域偏差态势预测过程中,可以构造出公式(1)所示的预测模型。

式中,E 表示电力系统频率偏差,T、t 表示时间周期和时间点,f、f '分别表示电网频率曲线和实际测量频率曲线。由于风光场站并联机组自身结构复杂,为了确保公式(1)计算出的频率偏差值符合真实工况,定义功率平衡约束条件如公式(2)和公式(3)所示。

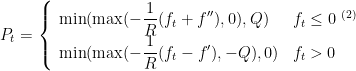
式中,P 表示标杆机组调速器有功调节量输出值, min、 max 分别表示最小化取值函数和最大化取值函数,R 表示等效调差率, ff 表示标杆机组死区,Q 表示机组出力幅限。
式中,P 表示测量时刻输出的有功调节量, P、P 2分别表示初始时刻和测量时刻风电机组有功功率, Pˆ、Pˆ 2分别表示初始时刻和P、 P2′
测量时刻储能有功功率, 1 2 表示初始时刻和测量时刻光伏逆变器有功功率。
充分考虑约束条件,对公式(1)进行求解,即可得到短期电力系统频率偏差态势预测值,作为后续调频控制的目标。1.2 搭建并联机组一次调频同步控制架构为了实现一次调频同步控制,搭建包含PID 控制器、功率分配算法、风光场站并联机组和频率偏差的控制架构,如图1 所示
图1 基于PID 的一次调频同步控制架构

在一次调频同步控制框架应用过程中,发挥主要控制作用的是PID 控制器[6],其对应的比例控制方程、积分控制方程和微分控制方程均在公式(4)中。
式中,u 表示调节量,K、K'、K''表示比例、积分、微分控制参数,d 表示积分运算函数,T1、T2 分别表示积分时间常数和微分时间常数。通过公式(4)能够求出PID 控制器调节量,再将其合理分配给不同机组,即可实现对电力系统频率偏差的有效补偿。
1.3 基于改进GSA 算法生成最优控制方案
基于PID 的调频控制架构搭建完成后,为并联机组一次调频控制提供了基础路径[7]。而为了最大程度提升控制质量,引入改进 GSA 算法对PID 控制参数进行求解,生成最优调频控制方案将每一种PID 参数取值组合,视为一个独立的粒子,找到所有可行的 PID 参数取值方案,就可以组成引力系统中的粒子群。以任意一个粒子为例,其初始位置如公式(5)所示。
Ai=(ai1,ai2,…,aiN)(5)
式中,A 表示综合粒子位置,a 表示单一维度粒子位置,N 维度数量,i 表示粒子编号。
依据牛顿引力定理可知,不同粒子之间是存在引力的,二者之间的具体作用力可以表示为

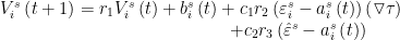
式中,j 表示另一个粒子的编号,S 表示目标维度,F 表示作用力,G 表示引力时间常数,M 表示引力质量。假设初始种群内所有粒子的引力质量和惯性质量完全一致,则粒子可以不断发生运动,其中包含的最优解会在运动过程中凸显出来。为了保证改进 GSA 算法寻优质量,将随机数、加速度、权重常数引入到常规 GSA 算法粒子运动速度更新过程中,最终得到新的速度更新公式。

式中,V 表示粒子运动速度,r1、r2、r3表示随机数,c1、c2 表示权重常数,b 表示加速度,、ˆ 分别表示历史最优解和全局最优解。
利用改进GSA 算法进行迭代寻优,直到参数寻优结果满足控制超调量最小化这一目标,即可得到最优PID 参数,将其导入图1 所示的控制框架中,代替PID 控制器中的固定控制参数,即可发挥最优一次调频控制效果。
2 实验分析
2.1 实验环境
为了检验新研究控制方法的应用效果,从众多新能源场站中选取一个风光储能场站,为实验工作的开展提供基础环境。针对风光储能场站运行场景进行观察,获取实验环境参数如表1 所示。
表1 实验环境参数

在表1 所示的环境下,应用基于改进GSA 算法同步控制方法、基于模型预测控制的控制方法、基于变下垂系数的控制方法,分别完成风光场站并联机组一次调频控制实验。根据调频控制结果,证明新设计控制方法的有效性,再对比不同方法控制后电力系统频率偏差变化,以此来体现新方法的应用优势
2.2 控制参数优化结果
为了取得良好的调频控制效果,在表2 所示的参数条件下,运用改进GSA 算法进行迭代寻优,获取最佳PID 控制参数,用以替代固定的调频控制参数。
表2 改进GSA 算法参数设置

设置比例控制参数、积分控制参数和微分控制参数的寻优范围统一为[0,10],应用改进 GSA 算法在其中进行不断搜索,找出最佳 PID调频控制参数。实际搜索过程中,产生的超调量变化曲线如图2 所示。
图2 改进GSA 算法搜索结果

从图2 来看,在改进 GSA 算法迭代次数为40 时,所得PID 参数优化结果应用到一次调频同步控制过程中,所产生的超调量最低,达到1.2%,后续又开始逐渐增长。因此,将第40 次迭代寻优得到的参数值视为最终寻优结果,最终确定比例参数、积分参数和微分参数分别为 0.07、0.58、0.47。
2.3 一次调频控制结果分析
借助参数调优后的PID 同步控制架构,实现风光场站并联机组一次调频控制,最终得到图3 所示的控制结果。
图3 一次调频控制结果

从图 3 来看,应用新方法得出的一次调频控制结果中,风电输出和光伏输出具有一定的互补性,这从符合基本的协同控制逻辑于改进GSA 算法的新方法具有可行性。
为了便于对比分析,在不改变实验工况的情况下,运用不同方法完成风光场站并联机组一次调频同步控制实验,并统计调频控统频率偏差变化,得出图4 所示的对比结果,以此来体现各方法控制性能。
图4 电力系统频率偏差变化曲线

从图 4 来看,应用新方法完成一次调频同步控制后,所产生的最佳频率偏差为 0.003p.u. ,其余两种方法控制处理后,频率偏差最大值分别为0.008 p.u.和0.013 p.u.。这一对比结果,更加直观地体现出新设计方法控制性能的优越性,将该方法推广应用到新能源电力系统运行管理过程中,有利于提升供电稳定性。
3 结束语
通过上述研究,提出基于改进GSA 算法的风光场站并联机组一次调频同步控制新方法。结合PID 控制算法的稳定控制能力和改进GSA算法的参数寻优能力,求出面向不同场景的最优调频同步控制方案,为新能源场站的调频控制提供了新的路径,也为将来高比例新能源电力系统的发展提供了助力。
参考文献
[1]程序,刘金品,陆舆,等.基于模型预测控制的储能系统一次调频控制策略[J].南京理工大学学报,2025,49(02):183-191.
[2]苏嘉豪,蔺红,樊艳芳.基于变下垂系数的风电全直流输电系统 次调频协调控制策略[J].电力系统保护与控制,2024,52(08):55-64
[3]田春筝,王浚怡,蒋小亮,等.基于模糊控制与风速分区的风 次调频控制策略研究[J].可再生能源,2025,43(01):124-133.
[4]王俊月,杨騉,宋政湘,等.基于自适应 SOC 的电池-飞轮混合储能一次调频控制策略[J].电力工程技术,2024,43(05):122-130.
[5]刘小龙,庞敬磊,吕智嘉,等.考虑荷电状态的电池储能 次调频综合控制方法[J].中国测试,2024,50(10):59-65.
[6]杨佰鹏,崔森,陈来军,等.基于改 的分 能系统调频控制策略[J].电气工程学报,2024,19(04):37-47.
[7]张亦弛,郭美仑,寇鹏.基于平均一致算法的多光伏电站协同调频控制策略[J].控制工程,2024,31(11):2104-2111.
京公网安备 11011302003690号