- 收藏
- 加入书签
椭圆中的定点、 定值问题探究
摘要:椭圆作为解析几何中二次曲线的核心内容,其定点、定值问题是连接代数运算与几何性质的典型载体,在高考数学和数学竞赛中占据重要地位.这类问题以“动中求静”为核心特征,要求在变量运动变化的过程中,探究其始终保持不变的点或几何量,对学生的逻辑推理、运算求解及数形结合能力提出了较高的要求.本文通过文献研究法、案例分析法,系统梳理椭圆中的定点、定值问题的常见类型,深入剖析其解题思路与策略,提炼通用解题方法和技巧,并结合典型例题与高考真题进行验证.研究结果表明,椭圆定点、定值问题的解决需要紧扣椭圆的定义与性质,灵活运用代数法、参数法、几何法和齐次化法等方法,实现变量与常量的转化.本文的研究可为高中数学教学提供参考,助力学生提升解决此类问题的能力
关键词:椭圆;定点问题;定值问题;解析几何;解题策略;常规解法;齐次化法
一、引言
(一)研究背景
解析几何是高中数学的重要分支,其核心思想是通过代数方法去研究几何问题,实现数与形的有机结合.椭圆作为二次曲线的重要代表,不仅具有丰富的几何性质,其衍生出的定点、定值问题更是高考数学的高频考点.从历年高考真题来看,椭圆定点、定值问题常以中等偏难的解答题形式出现,综合考查学生对椭圆方程、直线与椭圆位置关系、韦达定理等知识的掌握程度,以及分析问题、解决问题的能力.此外,这类问题还广泛应用于物理、工程等领域,如天体运行轨迹分析、光学仪器设计等,具有重要的实际意义.
(二)研究目的与意义
1. 研究目的
本文旨在通过一些典型的例题来梳理椭圆中的定点、定值问题的常见类型,深入探究其解题规律与方法,提炼通用的解题策略和特别的解题方法,并将本文的一些解题方法和研究结果推广到圆锥曲线中,为学生解决此类问题提供清晰的思路,同时也为高中数学教师的教学工作提供帮助.
2. 研究意义
理论意义:丰富解析几何中椭圆问题的研究体系,深化对“动中求静”数学思想的理解,为相关数学问题的研究提供方法借鉴.
实践意义:帮助学生掌握椭圆中的定点、定值问题的解题技巧,提升数学核心素养;为教师优化教学策略、提高教学效率提供实践参考.
二、椭圆中的定点、定值问题探究
(一)定点问题的常见类型
由斜率关系求定点;由倾斜角关系求定点;切点弦过定点;相交弦过定点;圆过定点;过定点的直线与椭圆相交形成的定点问题:例如,过椭圆上一定点作的两条动直线与椭圆交于另外两个动点,探究该动点所形成的动直线恒过定点等.
(二)定值问题的常见类型
斜率为定值;斜率之和(积)为定值;斜率之比为定值;角度为定值;距离为定值;面积为定值;数量积为定值;系数和为定值;斜率相关的定值问题:例如,过椭圆焦点的直线与椭圆相交,探究两交点与椭圆上某定点连线的斜率之积为定值等.
三、椭圆中的定点、定值问题的解题策略
(一)常规解法:如代数法(设点的坐标或直线的方程 2 、特殊值法、几何法、参数法等.
(二)齐次化法. 齐次化法一般用于解决与斜率之和(或积)有关的定点、定值或轨迹问题.其解题步骤一般如下:
1.平移坐标系(将坐标原点平移至椭圆上的定点处,如果定点在原点处则不需要平移);
2.假设新坐标系下的直线方程为 mx+ny=1 (直线过坐标原点时再单独分析);
3.将椭圆方程齐次化:二次项不变,一次项乘以 (mx+ny) ,常数项乘以 (mx+ny)2 ;
4.在齐次式方程两边同时除以 x2(x≠0) ,构造关于
的一元二次方程;
5.由韦达定理得到k Ω1+k2 和k ⋅k2 关于 m,n 的关系式,将其代入题目的条件中转化目标;6.如果是求定点坐标,最后还需要反方向平移回去.
四、椭圆中的定点、定值问题的典型例题解法探究
例题 1.已知椭圆 c 过点
,两个焦点为 (-1,0) , (1, 0 ) .(I)求椭圆 c 的标准方程;
(II) E , F 是椭圆上的两个动点,
(1)如果直线 AE 的斜率与 AF 的斜率之和为 2,证明直线 EF 恒过定点;(2)如果直线 AE 的斜率与 AF 的斜率之积为 2,证明直线 EF 恒过定点.
【解析】(I)椭圆 C 的标准方程为 x
,过程略;
(II)解法一:常规解法.

(1)设 E(x1,y1) , F(x2,y2) ,直线 EF 的方程为 y=kx+b ,联立
得
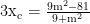
(3+4k2)x2+8kbx+4b2-12=0 ,由韦达定理得
3 kx2 + b − 3
由题意知,k +k ,即 kx1 + b − 2 2 2x −1 x −1
去分母得
,
整理得
,
代入韦达定理
,
去分母整
,
即8b2 + (4k + 6)b − (2k − 9)(2k − 3) = 0 , H[4b-(2k-9)][2b+(2k-3)]=0 .
故 b = k − 9 , 2 4 
当
时,直线 EF 的方程为
恒过定点 
当
,直线 EF 的方程为
,恒过定点
与 A 点重合,不符合
舍去.
综上所述,直线 EF 恒过定点 
解法二:齐次化法.
平移坐标系,使得坐标原点和点
重合,不妨设平移后的椭圆记为 c′ ,直线 EF 记为 E′F′ ,点 A 记为 ⋅⋅⋅ ,则在新坐标系中,假设直线 E′F′ 的方程为 mx+ny=1 (不过坐标原点,下文同),联立椭圆 c '和直线 E′F′ 的方程得
,
,再齐次化得 3x2+4y2+6x(mx+ny)+12y(mx+ny)=0 ,=1④(4+12n)y2+(6n+12m)xy+(3+6m)x2=0 ,两边同时除以 x2(x≠0) 得
,易知 kA′E′ℜkA′F′ 是上面方程的两个根,由韦达定理得
− 6n +12m = 2 ,化简得 n =
代入直线 mx+ny=1 得 m x 165 y) − 4 −1= 0 ,故直线 E′F′ 恒过
和直线
的交15点 (− 3 ,−15 ) ,则直线 EF 恒过定点 
(2)答案:直线 EF 恒定过点
.限于篇幅,请读者类比(1)的两种解法自己完成.
【评析】解法一是常规解法,需要有较强的代数恒等变形能力;解法二通过平移构造二元二次齐次式,使得运算难度大大降低.对于研究过椭圆上的定点与两个动点连线斜率的和或积的问题,可采用“齐次化法”来处理,当定点不在坐标原点时,往往可以像解法
那样把坐标系原点平移到定点处,然后按照定点为原点的处理方法求解,但是最后一定要记得把求解结果反方向平移回去
例题 2.(2020·新课标Ⅰ)已知 A,B 分别为椭圆E
的左、右顶点,G 为 E 的上顶点,ሬAሬሬGറ ⋅
.P 为直线 x=6 上的动点,PA 与 E 的另一交点为 C,PB 与 E 的另一交点为 D.

(1)求椭圆 E 的方程;(2)证明:直线 CD 过定点.【解析】(1)椭圆 E 的方程是 ݔ2
+ ݕ2 = 1,过程略;
(2)解法一:常规解法.
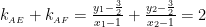
由(1)知 A(-3,0) , B(3,0) ,设 P(6,m) ,则直线 PA 的方程是
x+ 3 ,联立
(9+m2)x2+6m2x+9m2-81=0 ,由韦达定理得−
将其代入直线PA 的方程
得
,即
,同理可得直线 PB 的方程是
,x2联立 9 + y2 = 1
,则y= 3 x − 3①当 xc≠xD , EDm2≠3 时 ,直线 CD 的方程是
整理得
,故直线 CD 过定点
②当 xc = xD时,有
, 得 m2 =3 ,此时 xc = xD =
,即直线 CD 的方程为
,显然过定点 
综合①②,故直线 CD 过定点 
解法二:齐次化法.
由(1)知 A(−3,0) , B(3,0) ,设 P(6,t) ,则
,
根据椭圆的第三定义,
平移坐标系,使得坐标原点和点 A(−3,0)重合,不妨设平移后的椭圆记为 E′ ',直线 CD 记为 C′D′ ,点 A记 为 A′ , 则 在 新 坐 标 系 中 , 假 设 直 线 ∣C′D′∣ 的 方 程 为 mx+ny=1 , 联
椭 圆 E′ 和 直 线C′D′ 的方程得
+ y2 = 1,得: x2 − 6x+ 9y2 = 0,再齐次化得
x2-6x(mx+ny)+9y2=0,A|9y2-6nxy+(1-6m)x2=0 ,两边同时除以 x2(x≠0) 得
,解得 m =
,则直线 C′D '过定点
,故直线 CD 过定点 
【评析】解法二用到了“椭圆的第三定义”,再结合“齐次化法”,降低了运算量,比解法一要简洁.本题还有很多其它解法,读者们可以自己尝试着探究其它解法
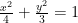
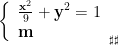
例题 3.已知椭圆 C: x +
的离心率为
,
的面积为
.
(1)求椭圆 c 的方程;
(2)过右焦点 F 作与 x 轴不重合的直线 l 交椭圆 c∓P,Q 两点,连接 AP,AQ,分别交直线
N 两点,若直线MF , NF 的斜率分别为 k1,k2 ,试问: k1⋅k2 是不是定值?若是,求出该值,若不是,请说明理由.
【解析】(1)椭圆 C 的标准方程为
,过程略;(2)解法一:常规解法.由(1)知 F(1,0) , δA(2,0) ,① 当直线 l 的斜率不存在时,直线 l 的方程为 x=1 ,
联立
,得 ,不妨设
,则直线 AP 的方程
,
,得
,此时
,同理可得
,
② 当直线 l 的斜率存在时,设直线 l 的方程为 y=k(x-1) ,(y=k(x-1) 联立 ݔ2 ݕ2 ,得 (3+ 4k2)x2 −8k2x + 4k2 −12 = 0 ,4 + 3 = 1设 P(x1,y1),Q(x2,y2) ,则
,直线 AP 的方程为
(x − 2) ,令x = 3 ,得 y = y1 ,则M(3,y1 ), 同理可得 N(3, 2 )
所
综上所述, k ⋅k 为定值 
解法二:常规解法.

【评析】该题的两种解法都是采用“常规解法”,设直线方程(点斜式或横截距式),然后跟椭圆方程联立,结合韦达定理,消去参数,化简得到斜率之积为定值.本题不适合采用“齐次化法”来解答,是因为“齐次化法”通常用来解决“过椭圆上的定点与两个动点连线斜率的和或积的问题”比较高效,具有一定的局限性,而本题所涉及到的定点和动点都不在椭圆上,因此不能应用“齐次化法”.
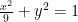
例题 4.(2022·武汉模拟)已知椭圆 C
的左右顶点分别为 A,B,过椭圆内点
且不与 x 轴重合的动直线交椭圆 C∓P ,Q 两点,当直线 PQ 与 x 轴垂直时, 

(1)求椭圆 C 的标准方程;
(2)设直线 AP,AQ 和直线l : x=t 分别交于点 M,N,
若MD ⊥ ND恒成立,求 t 的值.
【解析】(1)椭圆 C 的标准方程为
,过程略;
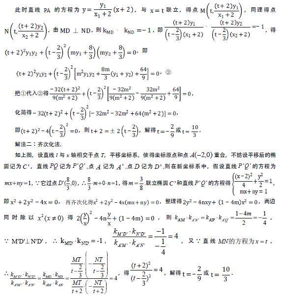
(2)解法一:常规解法.
如图,设直线l 与x 轴相交于点T,直线PQ 的方程为
,与椭圆联立得 m2 +2 y2 +
,

【评析】对比“常规解法”和“齐次化法”会发现“齐次化法”在运算量方面要明显少很多,并减少计算出错的概率.在解法二中,“齐次化”完成后,再巧妙地结合图形与斜率的定义进行化简,使得本题轻而易举地化复杂为简单.另外,在平移坐标系后,我们要清楚地知道哪些量在平移前后保持不变(如直线斜率,夹角,线段长度等),哪些量发生了改变(如点的坐标,直线方程和椭圆方程等),这是应用“齐次化法”解题的基础.
五、椭圆中的定点、定值问题的综合应用
高考真题 (2020·山东)已知椭圆 C
=1(a > b > 0) 的离心率为 2 ,且过点 A(2,1) .
(1)求椭圆 c 的方程;
(2)点 M,N 在 C 上,且AM ⊥ AN,AD ⊥ MN,D 为垂足.证明:存在定点 Q,使得 ܦܳ 为定值【解析】(1)椭圆 c 的方程为
,过程略;
(2)解法一:常规解法,此处省略,请读者们自己探究.
解法二:齐次化法.
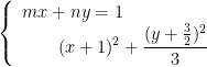
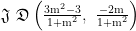
平移坐标系,使得坐标原点和点 A(2,1) 重合,不妨设平移后的椭圆记为 C∙ ,直线MN 记为M'N' ,点 A 记为 |A′ ,点 D 记为 D′ ,则在新坐标系中,设直线 M′N′ '的方程为 mx+ny=1 ,联立椭圆 c '和直线 M′N′ 的方程
=1,即 x2 +2 y2 + 4x+ 4y = 0,再齐次化得x2 +2y2 + 4x+ 4y mx+ ny = 0,整理得 (4n+2)y2+(4m+4n)xy+(4m+1)x2=0 ,两边同时除以 x2 (其中 x≠0 ,且设
得(4n+2)k2+(4m+4n)k+(4m+1)=0,∵AM⊥AN,Ω⋅kAM⋅ kAN =− 1∴ kA'M' ⋅ kA'N' = kAM ⋅ kAN = −1,故 4m+ 1 =− 1,即 4m+ 1 =− 4n − 2,得 − 43 m
1 ,所以直线 M′N′ 过定点
,直线MN 过定点 
在△ADP 中,AD ⊥ DP,则点 D 的轨迹是以 AP 为直径的圆, Ξ∵A 为定点,P 为定点, ,∴ AP 为定值,则 Q 为 AP 中点,此时 DQ 为定值.∵ A(2,1) ,
,因此,
为定值.
【评析】本题作为一道高考题,既考查了直线过定点问题,又考查了线段长度为定值问题,应用“齐次化法”解题思路清晰、简洁,再结合题目给出的几何条件(垂直关系),很容易发现目标转化的方向.如果本题采用常规解法,计算会很冗长、复杂,对运算能力要求高,还需要分情况讨论,困难重重.因此,灵活应用“齐次化法”在本题中起到了事半功倍的奇效
六、结语
本文以椭圆中的定点、定值问题为研究核心,通过典型例题剖析与逻辑推理,深入比较了“常规解法”与“齐次化法”的应用脉络及优劣特性.“常规解法”依托联立直线和椭圆的方程,结合韦达定理,消去参数等手段,遵循“条件转化—代数运算—几何验证”的经典思路,其过程完整展现了解析几何“数形结合”的本质和解题过程,在处理常规题型及验证结论正确性时具有不可替代的作用,为问题求解提供了坚实的逻辑支撑;“齐次化法”则突破传统思路,通过引入参数构造齐次方程,将定点、定值问题转化为方程系数间的关系,大幅简化了多元变量的运算复杂度,尤其在解决“过椭圆内定点的直线与椭圆相交形成的斜率之和(或积)为定值”等问题时,展现出运算高效、思路简洁的显著优势,为复杂问题的快速求解提供了新的路径.两种方法的对比研究表明:“常规解法”是理解椭圆定点、定值问题本质的基础,其严谨的推理过程有助于深化对解析几何基本思想的认知;“齐次化法”则是解题技巧的创新体现,其化归与构造的思维方式为同类问题的求解提供了灵活视角,二者相辅相成,共同构成了椭圆定点、定值问题求解的重要体系.本文的研究不仅明确了两种方法的适用场景与优化策略,也为解析几何问题的教学与研究提供了实践参考.未来,可进一步拓展两种方法在双曲线、抛物线等其他圆锥曲线中的应用,或结合向量、导数等工具探索更具普适性的求解框架,为圆锥曲线中的定点、定值问题研究注入新的活力
参考文献
[1] 人民教育出版社. 普通高中教科书·数学(选择性必修第一册)[M]. 北京:人民教育出版社,2020.
[2] 张奠宙. 解析几何的思想方法[M]. 上海:上海教育出版社,2018.
京公网安备 11011302003690号