- 收藏
- 加入书签
技术多元化对高技术企业创新绩效的影响研究
——基于动态能力和技术环境不确定性的调节作用
摘要:创新是企业发展的根本动力,技术多元化战略促进企业转型。高技术企业由于其持续进行研究开发和成功转化,具有更活跃的技术创新活动,然而我国的高技术企业投资技术创新效率不高。近年来,随着企业技术并购行为的大热,高科技企业中出现了技术多元化、多领域融合的局面。
为了探讨技术多元化对高技术企业技术创新绩效的内在影响机制,本文首先回顾了技术多元化、技术创新绩效、动态能力和技术环境不确定性的概念内涵和最新研究成果,提出理论假设。再利用Eviews等统计工具,设置相关技术多元化和非相关技术多元化相关指标为自变量,动态能力和技术环境不确定性相关指标为调节变量,企业技术创新绩效为因变量,对来自我国游戏产业的30所上市公司的数据进行回归分析、假设检验,从而对之前所做的假设进行实证研究。研究指出:相关技术多元化和非相关技术多元化分别对高技术企业创新绩效的影响及动态能力和技术环境不确定性在其中的调节作用的相关结论。并为高技术企业根据自身情况调整多元化发展战略提供建议,以期提高我国高技术企业技术创新绩效。
关键词:技术多元化;动态能力;技术环境不确定性;创新绩效
引言
在数字冲击下,当今世界经济格局瞬息万变。随着我国步入经济发展的新常态,创新驱动已经代替了投资驱动的经济增长方式,创新驱动型经济增长的重要性已经拉到了历史最高。然而,虽然我国高技术企业都加强了在研究开发上的支出,但由于企业规模,且内部控制、战略制定及企业资源与管理等的不同,企业仍然存在着创新效率普遍较低的问题。
为了更好的生存,技术多元化已经是高技术企业发展战略的未来趋势,技术创新成为了高技术企业的唯一出路。近年来,企业技术并购行为的大热,高技术企业出现技术多元化的局面。企业实施技术多元化战略可以有效地分散技术研发风险,扩展企业的技术基础范围,增强企业的核心竞争力,但是过度多元化会不利于沟通,提高企业管理成本,分散企业有限的资源。
因而,对技术多元化战略所引起的企业技术绩效问题的深入研究成为了迫切的问题。
理论基础和研究假设
技术多元化与企业创新绩效
技术多元化理论基础
技术多元化一词来源于Nelson提出的“知识多样性”(Knowledge diversity)这一概念,直到1986年Kodama才正式明确了技术多元化的定义,也正式确定了这一新的学科领域,学术界众学者对这一领域一直研究不断,争议不一。所谓技术多元化是指企业向其他学科领域拓展技术,同时又维持原有的核心技术。技术多元化最终表现为拓展企业的技术基础范围。根据RBW(资源基础观),企业的核心能力和异质性可视为企业竞争优势的来源,从而影响绩效。
根据CHEN和CHANG(2012)等人的理论方法,我们将技术多元化进一步地区分为相关技术多元化和非相关技术多元化。相关技术多元化是在企业核心技术领域发生的创新活动,可视为将企业技术知识分布于关联度高的技术领域。而非相关技术多是在企业非核心技术领域发生的创新活动,可视为企业将技术知识分布于关联度低的技术领域。
企业创新绩效理论基础
近年来,企业的创新绩效一直是一个热门研究领域,但学者们关于企业创新绩效的内涵并未形成统一的定义。一部分学者认为创新应该基于创新过程,其将企业的创新投入和创新产出视为一个整体,企业的创新绩效是其创新产出和投入产出转换率的集合。而另一部分学者认为企业的创新绩效应该有狭义和广义之分,广义的创新绩效是既考虑创新结果又考虑创新过程,而狭义的创新绩效仅考虑创新成果,其仅关注企业的创新产出,忽略创新活动的前期投入。综合考虑模型需要和理论基础,本文从狭义将企业的创新绩效理解为实施创新研发活动所带来的直接价值,强调企业的创新成果,并用专利授权量来衡量。
技术多元化和创新绩效
目前文献关于企业创新绩效和技术多元化的关系的意见并不统一。Huang(2010)认为技术多元化和创新绩效存在倒U型关系,而Ramaujm和Varadarajam(1989)认为企业的创新绩效和技术多元化之间并没有直接联系。此外,Arggres(1996)认为由于技术多元化会增加企业内部的组织协调成本,从而不利于创新绩效。
相关技术多元化给企业带来了更全面的技术基础,也为企业实施创新活动提供了更多的技术机会。由于企业的技术知识关联度高,在企业研发时可以缩短研发时间,大大减少研发投入,降低成本,同时,由于相关学科领域的知识相似,更有利于技术知识的积累和集聚,加速技术融合,降低风险。相关技术多元化也使得在企业生产两样技术相关性高的产品时,更容易形成范围经济。企业的创新效率得到大大提升,从而促进了企业的创新产出,提高了企业的创新绩效。
对于非相关技术多元化,一方面可以分散研发风险,并提供了一个更为宽广的技术基础范围,有利于企业持续创新。非相关技术多元化可以异质性知识相互启发,防止出现核心刚性现象和特定研发路线依赖,从而促进了创新产出,并最终会提升创新绩效。然而,另一方面,过多地投入资金与人才在非相关技术领域,将会大大提升技术知识融合的成本,使得有限的资源被分散在各个领域,从而使得创新绩效难以得到有效提升。
研究假设
基于以上分析,本文提出了以下两项假设:
H1:相关技术多元化对高技术企业技术创新绩效起到显著正向影响。
H2:非相关技术多元化对高技术企业技术创新绩效的影响呈现倒U型。
动态能力和技术环境不确定性的调节作用
动态能力的概念和及其调节作用
所谓动态能力,即指改变能力的能力,包括公司整合、构建、重新配置内部和外部能力来应对快速变化的环境的能力。根据资源基础观,动态能力为了适应市场的变化而发生的资源改变的过程,这些过程包括了整合资源、动态能力的获取与抽离和新资源的重新配置。
马忠和刘宇(2010)的研究显示,多元化战略所发挥的效果受企业的能力与资源是否相适配影响,技术多元化战略实施的效果受动态能力影响。随着游戏产业的市场竞争越来越大,市场环境越来越动荡,游戏公司只有不断地技术革新,及时的调整战略和配置资源,才能更好地生存发展下去。动态能力往往指向企业地战略性转变,它会影响企业在实现技术多元化过程中的学习能力,更充分地发挥学习曲线的优势,帮助企业更快速有效地使用新技术,从而促进企业创新绩效地提升。动态能力还可以影响企业在新领域进行研发时的整合重置资源的能力,更好地平衡企业新技术研发过程中的需要,产生协同作用,促进产品间的范围经济,提高效率,从而促进企业的创新绩效。
技术环境不确定性的概念及其调节作用
Milliken(1987)在研究将环境的不确定性定义为由于管理者认知有限,缺乏经营决策所需的相关信息,难以对行业及市场走向进行预测。其将这种不确定性又分为状态不确定性、影响不确定性和反应不确定性三类。如今游戏产业市场风起云涌,技术更新换代极快,这便造就了技术环境的不确定性,要求企业进行技术革新。
Jaworski和Kohic从技术、市场和竞争强度三个角度对技术环境不确定性对创新绩效的影响进行了探讨。技术环境的不确定性意味着技术创新的多元化和技术创新的结果的不确定性,Daravishmotevali(2020)在研究中指出,技术环境不确定性导致企业面对无法预测的情况难以做出正确的技术研发更新的经营决策,从而对企业的创新绩效产生负面影响。
研究假设
基于以上分析,本文提出了以下四项假设:
H3:动态能力对相关技术多元化与高技术企业创新绩效的关系起到正向调节作用。
H4:动态能力对非相关技术多元化与高技术企业创新绩效的关系起到正向调节作用。
H5:技术环境复杂性对相关技术多元化与高技术企业创新绩效的关系起到负向调节作用。
H6:技术环境复杂性对非相关技术多元化与高技术企业创新绩效的关系起到负向调节作用
研究设计
样本选取与数据来源
本文选取了三十所来自游戏产业的公司的数据作为研究的样本,为了保证数据分析结果的有效性,我们在选择数据时做出了以下筛选:选择标准为具有一定的自主创新能力,专利数不为零的游戏公司。本文的专利数据来源于国家知识产权局官网和万分数据知识服务平台,并手动手机每一家公司的专利申请数和专利授权数,企业的其他绩效数据来源于CSMAR官网和企业年报。
变量测度
解释变量
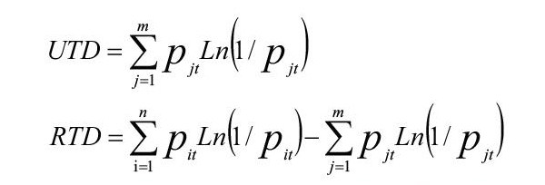
Hoskission(2010)的研究指出,用熵指数法研究不同领域专利最为有效。在本文中,我们采用熵指数法测度技术多元化,并按照IPC主分类标准区分相关技术多元化(RTD)和非相关技术多元化(UTD)。
式中,M/N为企业在t年专利大类/小类分类号的数量,pit为第t年专利大类中属于技术分类号j的专利数,pjt为第t年专利小类中属于技术分类号i的专利数。
被解释变量
本文的被解释变量为企业的创新绩效。据目前文献,对于创新绩效的测度主要有问卷调查法和使用专利授权量描述两种方式。由于调查问卷的成本高、数据获取收集难度大,在本文中我们选择更为可靠简单的专利授权数作为测量依据。
调节变量
本文设置两个调节变量分别为技术环境不确定性和动态能力。关于技术环境不确定性,我们采用Wilden和Gudergan(2015)在研究中从技术环境变化的速度、频率,技术机会的范围和技术预测的难度几个方面设置四项题项来评估,如下表1所示。关于动态能力,我们分别从机会识别能力、资源整合能力、组织重构能力三个角度共设立七个题项来评估,如下表2所示。
控制变量
除技术多元化、动态能力、技术环境不确定性外,我们也要考虑到其他因素对创新绩效的影响,故在实证研究中我们要将一些变量设置为控制变量。在本文中我们选取企业的规模、企业的年龄、企业财务杠杆和企业盈利能力做为控制变量。企业规模用总资产自然对数进行测度,企业年龄用企业成立时长进行测度,企业财务杠杆用企业资产负债率测度,企业的盈利能力用企业净资产收益率(ROE衡量)。
模型构建
本次研究建立了以下多元回归模型来对相关与非相关技术多元化与企业创新绩效之间的关系进行检验,并揭示技术环境不确定性和动态能力的调节作用。
式中,i为企业,t为时间,模型一主要检验自变量对创新绩效的影响,模型二主要检验技术环境不确定性对其的调节作用,模型三主要检验动态能力对其的调节能力。
实证分析
基于模型一的回归分析,我们可以得出企业技术多元化与创新绩效的多元分析结果。相关技术多元化的回归系数为0.483(>0),且回归系数的t统计量伴随概率p<0.01,通过了显著水平验证,假设1成立;非相关技术多元化的平方项的的回归系数为-0.253(<0),且回归系数的t统计量伴随概率p<0.01,也通过了显著性水平,假设二成立。
基于模型二的回归分析,我们可以得出技术环境不确定性对技术多元化与创新绩效的关系的调节作用方向的多元分析结果。技术环境不确定性与相关技术多元化的交互项的回归系数为-0.243(<0),技术黄金不确定性与非相关技术多元化的交互项的回归系数为-0.400(<0),且回归系数都通过了t检验,故假设3、4成立.
基于模型三的回归分析,我们可以得出动态能力对计算多元化与创新绩效的关系的调节作用的多元分析结果。动态能力和相关技术多元化的交互项的回归系数为0.421(>0),动态能力和非相关技术多元化的交互项的回归系数为0.725(>0),且两个回归系数都通过了t检验,故假设5、6成立。
五.结论与启示
本文基于技术多元化与企业创新绩效的实证研究,得出了以下结论和启示:
相关技术多元化对高技术企业技术创新绩效起到显著正向影响,然而非相关技术多元化对高技术企业技术创新绩效的影响呈现倒U型,本文从实证研究的角度,揭示了相关与非相关技术多元化对企业创新绩效的影响。企业在经营过程中应当增加在相关技术上的研发预算,并将非相关技术的多元化通过控制研发支出控制在一定水平上。
动态能力对相关与非相关技术多元化与高技术企业创新绩效的关系均起到正向调节作用,即无论实施相关技术多元化战略还是非相关技术多元化战略,增强企业的动态能力,都有利于的持续高效的创新活动。企业应当对企业的管理协调和工作流程加以把控,以增强企业的动态能力。
技术环境不确定性对相关与非相关技术多元化与高技术企业创新绩效的关系均起到负向调节作用。故企业进入某一市场时,应先对市场上的技术不确定性进行评估,优先选择不确定性低的市场。例如,像完美世界这类联网手游四三九九这样的单机端游市场相对于四三九九这样的单机端游市场而言,其技术环境不确定性越高,技术多元化战略对企业创新绩效的提升越不显著。
参考文献:
[1] 陈培祯,曾德明,李健.技术多元化对企业新产品开发绩效的影响[J].科学学研究,2018,36( 06) : 1070-1077.
[2] CHEN Y S,CHANG K C.Using the entropy-based patent measure to explore the influences of related and unrelated technological diversification upon technological performance[J].Scientometrics,2012,90 ( 03) : 825-841.
[3] Huang,Y.F.,Chen,C.-J.The impact of technological diversity and organizational slack on innovation[J]. Technovation, 2010.30(7-8): 420-428.
[4] Ramanujam,V.,Varadarajan,P.Research on corporate diversification:A synthesis[J].Strategic Management Journal,1989.10(6):523-551.
[5] Argyres,N.Capabilities,technological diversification and divisionalization[J].Strategic Management Journal, 1996.17(5): 395-410.
[6] 马忠,刘宇.企业多元化经营受政府干预、企业资源的影响[J].中国软科学,2010,(1) : 116-127,174.
[7] Milliken F.J.Three Types of Perceived Uncertainty about the Environment: State,Effect,and Response Uncertainty[J].Academy of Management Review, 1987,12(1):133-143.
[8] Jaworski B. J.,Kohli A. K. Market Orientation: Antecedents and Consequences[J].Journal of Marketing,1993,57(3):53-70.
[9] Darvishmotevali M.,Altinay L.,Koseoglu M.A. The Link between Environmental Uncertainty,Organizational Agility,and Organizational Creativity in the Hotel Industry[J]. International Journal of Hospitality Management, 2020,87:102-499.
[10] Hoskission R. E.,Hitt M. A.,Johnson R. A.,et al.Construct validity of an objective ( Entropy) categorical measure of diversification strategy[J].Strategic Management Journal,2010,14( 3) : 215-235.
[11] Wilden R., Gudergan S.P..The Impact of Dynamic Capabilities on Operational Marketing and Technological Capabilities: Investigating the Role of Environmental Turbulence[J].Journal of the Academy of Marketing Science,2015,43(2):181-199.
[12] 姜黎辉,张朋柱,彭诗金.技术机会识别能力与企业网络合作能力关系研究[J].科技进步与对策. 2006,(07):8-13.
[13] 党兴华,刘景东.技术异质性及技术强度对突变创新的影响研究——基于资源整合能力的调节作用[J].科学学研究. 2013,31(01):131-140.
[14] 池毛毛,王伟军,卢新元,李浩.数字商务战略剖面和组织重构能力关系的研究:究竟是抑制还是促进[J].管理工程学报.2020,34(04):11-20.
[15] 盛宇华,蒋后卿.高科技企业技术多元化与企业绩效的关系研究——动态能力的调节作用[J].工业技术经济. 2018,37(02):13-21.
[16] 张世雯,钟一博.动态能力视角下技术多元化发展与企业创新绩效的互动关系——以物流企业为例[J].商业经济研究. 2022,(02):130-133.
[17] 程华夏,黎翔.技术多元化对企业创新绩效的影响研究——基于CEO权力调节效应[J].技术与创新管理. 2021,42(01):37-44.
[18] 王美玲.大数据环境下技术多元化与企业创新绩效关系研究[D].南京邮电大学管理学硕博论文,2019.
[19] 孙佳.技术多元化对企业创新绩效的影响研究[D].湖南大学工商管理专业硕士学位论文,2016.
[20] 陈珊.外部技术环境对创新绩效的影响机制研究 ——知识搜寻与变革型领导的作用[D].安徽大学管理学硕士学位论文,2021.
作者简介
李玟(2000.10-),女,汉,安徽安庆,本科在读,安徽财经大学会计学院,研究方向:财务管理。
本文系安徽财经大学2021年大学生创新创业项目研究成果,项目编号202110378189




京公网安备 11011302003690号