- 收藏
- 加入书签
基于传染病SIR与SEIR模型的网络舆情传播演化规律研究
摘要:采用传染病模型能够反映网络舆情信息传播特征,将网络中人群分为易感者S,观望者E,传播者I,遗忘者R,分别应用SIR模型、SEIR模型、改进SEIR模型对网络舆情信息传播量随时间关系进行建模仿真。该模型能够完成网络舆情潜伏期的高峰值、扩散周期预测以及影响舆情传播的指标因素分析等,为网络舆情预警研究提供了思路。
关键词:SIR模型,SEIR模型,伯努利微分方程,最小二乘法,决定系数
1 问题提出
在大数据的网络环境下,采用定量、深层次、精确、实时观测网络舆情数据,研究网络舆情的动态演化过程,分析其函数图像和特征,针对将要发生的网络舆情及时做出有效预警应对。通过对微博舆情信息抓取的数据进行挖掘,突发事件[1]的网络舆情新闻报道数量(包括网民发布微博、关注、评论程度、转载)是分布在事件发生时间轴上的一些离散的点,从已经发生的突发事件案例监测数据入手,采用定量、模型化的去分析网络舆情形成、高潮、消减、消亡的演化过程。
2 研究方法与模型
将持有、接受、表达某种相同、相似观点的人在社会人群中所占的比例超过一定阀值时,这种观点就上升为舆论[2]。网络舆情指民众通过互联网对政府管理以及社会现象、问题所表达的政治态度、意见、诉求和情绪的总和。
2.1 舆情监测软件收集舆情传播数据
主要针对互联网上的网络舆情案件进行数据分析。新媒体网络平台主要是新浪微博等,通过舆情实时监测软件得到舆情信息传播量随时间变化的准确数据和图表。分析网络舆情传播量随时间的演化规律和网民对突发事件的传播率、遗忘率等指标因素,利用传染病模型SIR[3-4]、SEIR[3]建模仿真,能够较为准确的预测每个阶段舆情发酵的最大值、传播周期等关键数值,更好的完成舆情监测和预警。
2.2建立微分方程-数值计算方法
2.2.1 SIR模型建立
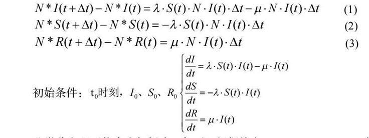
设活跃网民总数为N,在舆情传播过程中,存在三类人群:I类传播者、S类易感者、R类遗忘者。t时刻,设 分别为:I类、S类、R类分别占总数N的比例。则有: ,设 为单位时间内,平均到每个传播者在易感者S类中可传播的人数;设单位时间内遗忘者占传播者I群体的比例为 。考虑t到t+△t时刻内,建立易感人数S、传播人数I、遗忘人数R关于t的微分方程:
初始条件:
此微分方程不能求出解析式,但可以根据给定 、 、 ,在Matlab中,调用函数ode45做数值计算,得出任意时刻,网络中I类传播者人数、S类易感人数、R类遗忘者预测数值及舆情传播趋势。
2.2.2 SEIR模型建立
SIR模型比较符合网络舆情信息传播规律的实际情况,考虑到易感人群S中,在接收到传播者I信息后,存在潜伏期并没有直接成为传播者,此刻引入观望者人群E类,则这种模型成为SEIR模型。
SEIR模型:将网络中群体N分为4类人群,S类(易感者)、E类(观望者)、I类(传播者)、R类(遗忘者);在t时刻,占N的比例分别为: ;
改进SEIR模型:考虑到舆情传播的实际情况,可以改进SEIR模型[5]。在网络中易感者S群体转化为观望者E群体,E当中,一部分人被及时传染成传播者,一部分人滞留在E中,另一部分选择成为遗忘者R类。引入变量 :E当中每小时成为遗忘者占观望者比例。如图2:
使用SIR、SEIR及其变形SEIR模型对网络舆情传播演化规律建模仿真,用最小二乘法[6],决定系数 衡量真实值与预测值之间的差异,对模型进行评估。
3 建模仿真实现
引用“某银行泄露用户信息”网络舆情案件,“某银行支行未获本人授权,便将其个人账户流水提供给某公司,属于侵犯公民个人信息的违法行为”。该事件引发舆论关注(新浪微博-微热点舆情监测)。
模型一 SIR建模仿真:网络舆情形成初期,数据不太稳定,模型从舆情形成并且连续上升过程进行分析和研究。根据舆情传播量的真实数据,如表1,55小时内,经历了两次高峰值,随后进入消减、消亡阶段,主要分析两次高峰周期内舆情传播规律。
通过最小二乘法,计算R^2=1-sum(( - ).^2)/sum(( - ).^2); 是真实值, 是预测值, 是真实值的平均值,根据表2计算得到第一、二周期的决定系数 、 ,数值越接近1,说明拟合效果良好,从图像分析预测传播周期约T=25,舆情形成在24小时内,达到最高峰值,每一次舆情上升都是按照周期函数上升,网络舆情传播规律符合基于SIR模型的周期函数。
模型二 SEIR模型建模仿真:利用SEIR模型仿真任意时刻的传播者总数 、易感者总数 、观望者总数 、遗忘者总数 。配置相关参数:t0时刻,N=20354, , , ,第一周期舆情传播过程,设初始条件I=362, S=N-I, E=0,R=0。第二周期舆情传播过程, 保持不变,初始条件发生改变,由于舆情传播进入第二周期的上升阶段,传播者增多,观望者增多,存在遗忘者,因此根据真实值 ,设S = N - I, E=1650, R = 305。对微分方程组做数值计算,在Matlab中编辑脚本,求解得出10-55小时任意时间 的数值,绘出舆情信息传播量真实数据的散点折线图和传播者人数 预测值的函数图像,如图5、6:
计算SEIR模型仿真舆情传播第一、二周期决定系数 , ,说明拟合良好,网络舆情传播规律符合基于SEIR模型的周期函数。
模型三改进SEIR模型建模仿真:主要是对观望者E类群体的下一刻去向进行细分,一部分人被及时传染成传播者,一部分人滞留在E中,另一部分选择成为遗忘者。第一波舆情传播过程:
设初始条件:I=362, S=N-I, E=0, R=0,第二波舆情传播过程:传播者、观望者、遗忘者匀增加,E=1650,I=1178, S=N-I, R = 305,采用与模型二相同的研究方法对舆情传播量进行分析,解微分方程组做数值计算,在Matlab中编辑脚本,计算改进SEIR模型仿真的决定系数为 , ,系数较模型二更加接近于1,说明拟合优度提高,改进效果明显,网络舆情传播规律符合改进SEIR模型的周期函数。如图7,8:
4 模型的推广与评价
舆情传播规律是符合SIR模型规律,由于该模型的图像呈现S型曲线特征,与真实舆情传播很相似,从每一次舆情上升开始的前几个小时就能够分析出可能达到的最高峰值和发酵周期,从而及时采取有效措施,控制和引导舆情走势。SEIR模型是具有SIR模型的特点和优点的,由于网络中舆情的复杂情况,舆情发生后,对每个阶段网民细化分类,从而得到了SEIR模型和改进SEIR模型。
参考文献
[1] 李弼程,林琛,郭志刚.突发事件网络舆情研究探讨[J].情报杂志,2010.29(7):54-57.
[2] 曾润喜.网络舆情管理工作机制研究[J].图书情报工作,2009.53(18):79-82.
[3] 谭娟.基于传染病模型的社交网络舆情话题传播[J].计算机工程与应用,2015,0(12):118-122.
[4] 魏静,黄阳江豪,林萍.基于改进SIR模型的微博网络舆情传播研究[J].情报科学,2019年第6期16-22.
[5] 纯龙,宋会敏,丁国辉.一种改进的SEIR网络谣言传播模型研究[J].情报杂志,2017.36(3):86-91.
[6] 曹学艳,宋彦宁,刘海涛,李仕明.基于最小二乘法的突发事件网络舆情演化规律研究[J].图书情报工作,2013.24:101-105.
基金项目:2022年自治区高校科研计划项目(编号XJEDU2022P130)
作者简介:侯学慧,女,新疆警察学院信息安全工程系副教授,硕士,主要从事数学建模、大数据技术;







京公网安备 11011302003690号