- 收藏
- 加入书签
计量标准重复性试验过程中相关问题的探讨
摘要:本文主要介绍计量标准管理过程中重复性试验相关问题,主要包括重复性试验对象、重复性试验测量点的选择、重复性试验规范操作与读数、重复性试验结果的数据处理、重复性试验结果的判定,并提出一种简化的判定方法。
关键词:计量标准;重复性;重复性试验;测量不确定度
引言
计量标准是指准确度等级低于计量基准的,用于检定/校准其他计量标准或工作计量器具的计量器具。计量标准处于国家计量检定系统表的中间环节,起着承上启下的作用。即将计量基准所复现的量值,通过检定/校准传递到工作计量器具,从而确保工作计量器具的准确可靠,确保全国计量单位制和量值统一。为了保障计量标准具备相应测量能力并能够在正常的
技术状态下进行工作,保证量值传递的准确可靠,《计量法》规定,县级以上人民政府计量行政部门建立的社会公用计量标准和部门,企业、事业单位建立的各项最高计量标准,都要经依法考核合格后,才有资格开展量值传递工作。[1]
2023年9月15日JJF 1033-2023《计量标准考核规范》正式实施[2],代替了JJF 1033-2016《计量标准考核规范》,以此为契机,新的标准对我们的计量标准管理工作有了一些新的要求,主要体现在计量标准负责人和计量标准变更的管理变化,重点在于计量标准环境条件及设施发生重大变化时可以通过自查、自我声明等自主管理的变化,体现了国务院一直以来的放管服改革思路。
除了强制检定相关的计量标准,一方面可以看到计量行政部门对计量标准的行政管理逐步转为企业的自主管理,是一种深化改革,是一种进步;但另一方面,也要看到我们在计量标准管理过程中存在诸多的问题和不足,主要体现在技术人员对《计量标准考核规范》认识的不足,在实际操作过程中的不规范,根据笔者从事多年的计量标准管理工作经验,在计量标准管理过程中出现问题较多的地方有重复性试验过程、稳定性考核等,下面笔者介绍重复性试验过程中存在的主要问题及对这些问题进行处理的探讨。
1.重复性试验方法
重复性试验是指在相同测量程序、相同操作者、相同测量系统、相同操作条件和相同地点,并在短时间内对同一或相类似被测对象重复测量,所得示值或测得值之间的一致程度[3]。计量标准管理过程中的重复性试验是指检定或校准结果的重复性,进行重复性试验的目的是要给出检定或校准过程中随机效应对结果的影响,重复性试验是检定或校准结果的一个不确定度的重要来源。如果重复性太差,检定或校准结果的不确定度不能满足要求,因此重复性试验是计量标准管理过程中的重要过程。
在重复性测量条件下,用计量标准对常规被测对象进行n次独立重复测量,若测得值为xi,则重复性S(xi)按贝塞尔公式计算:
式中:
n——重复性测量次数。
计量标准管理过程中重复性测量次数一般不少于10次。如果有特殊情况,重复性测量次数至少也要不少于6次。
1.2重复性试验过程相关问题探讨
1.2.1重复性试验的对象
重复性试验的对象为常规性的被检定或校准计量器具,理想的常规性对象检定或校准的重复性试验结果相差不大,但实际计量标准管理过程中可能会出现某些常规性对象的重复性试验结果较大,甚至导致测量不确定度不满足要求。
对于以上问题如何处理,如果是新建立计量标准,可以找一批不同厂家不同型号的常规性计量器具,对每台计量器具均进行同一点的重复性试验结果,如果各结果之间相差不大,那么可任选其中一台计量器具进行其它测量点的重复性试验,如果各结果相差较大,那么取中位值的计量器具进行其它测量点的重复性试验。
如果是已建立的计量标准,重复性试验对象选择与新建计量标准重复性试验时相同厂家、型号的计量器具。
某些计量标准的检定或校准对象需在客户现场,此时很难满足多个厂家、多个型号都进行重复性试验,建议选择行业内质量较好、准确度等级与计量标准开展项目准确度等级相同的常规仪器。
如果计量标准可开展不同准确度等级的同一项目进行检定或校准?这种情况如何选择重复性试验对象呢?例如,天平检定装置,可以开展I级天平的检定,也可以开展II级天平的检定及更低级别天平的检定,这个时候如何选择重复性试验对象呢?笔者认为应该以I级天平为重复性试验对象。因为如果I级天平的重复性试验结果满足要求,稳定性试验结果满足要求及测量不确定等都满足要求,说明该天平检定装置已经具备对I级天平的检定能力,那么该检定装置同时也满足对II级天平及更低级别天平的检定能力。反之不成立:如果以II级天平进行重复性试验,结果满足要求,并且其他条件也满足要求,此时只能说明本天平检定装置具备了对II级天平及更低级别天平的检定能力,但不能说明具备对I级天平的检定能力。
1.2.2重复性测量点选择
对于每个测量点,原则上都要进行重复性试验,但在计量标准管理过程中,很多计量标准管理人员仅对一个典型点进行了重复性试验,这样操作存在很大的风险,因为不同测量点的重复性是不相同的,有可能典型点的重复性试验结果较小,测量不确定度满足检定或校准结果的要求,但其它某个测量点重复性试验结果大,从而测量不确定度不满足检定或校准结果的要求。
为了解决上述存在的问题,可行的做法是测量范围中的上限、下限、中间点,0点处都进行重复性试验,如果各点重复性试验结果相差不大,那么可以取其中最大的重复性试验结果作为整个测量范围中的重复性试验结果,如果重复性试验结果相差较大,尤其是对测量不确定度影响较大,那么需要在其中插入一测量点进行不确定度,比如二等铂电阻温度计计量标准开展的项目有数字温度计,数字温度计项目测量范围为(0~100)℃,那么需要在0℃、50℃、100℃点进行重复性试验,如果50℃与100℃的重复性试验结果相差较大,那么需要在中间再取一点(如75℃)进行重复性试验,重复以上过程,直到可确保各测量点的重复性试验结果满足要求。
需要注意的是,计量标准如果可以检定或校准多种不同计量器具,那么对各种计量器具均需进行重复性试验,如果某种计量器具有多个参数,那么每种参数均需进行重复性试验。
1.2.3重复性试验的操作和读数
重复性试验是在重复性测量条件下进行的操作,重复性测量条件是指相同测量程序、相同操作者、相同测量系统、相同操作条件和相同地点,并在短时间内对同一或相类似被测对象重复测量的一组条件。在笔者计量标准管理过程中发现重复性试验操作过程中,相同的操作者、相同的测量系统和相同操作条件、相同地点和短时间内对同一被测对象进行测量这些都是满足要求的。但大多数时候很多重复性试验不满足相同测量程序,往往只是进行多次的读数,并不是重复进行相同测量程序的操作。比如说二等铂电阻温度计计量标准开展的项目有数字温度计,在数字温度计项目进行重复性试验操作步骤如下:
a)将二等标准铂电阻温度计与数字温度计同时插入至恒温槽中足够的浸没深度,将二等标准铂电阻温度计的测量端接至测温仪上;
b)设定恒温槽温度为t;
c)待恒温槽温度稳定,一段时间后读取测量仪上二等标准铂电阻温度计的温度值ts1与数字温度计测得的温度值tx1;
d)过几分钟后,接着读取二等标准铂电阻温度计测量的温度ts2数字温度计测量的温度tx2;
重复执行d)步骤直到读取了10次数据。
以上操作是错误的,没有重复相同的测量程序,正确的步骤如下:
a) 将二等标准铂电阻温度计与数字温度计同时插入至恒温槽中足够的浸没深度,将二等标准铂电阻温度计的测量端接至测温仪上;
b)设定恒温槽温度为t;
c)待恒温槽温度稳定,一段时间后读取测量仪上二等标准铂电阻温度计的温度值ts1与数字温度计的温度值tx1;
d)关闭恒温槽,从测温仪将二等标准铂电阻温度计的测量端从测温仪上拆下来;
e)每隔一段时间后重复执行a)、b)、c)、d)步骤直到获取了10次重复性试验数据。
对于其它计量标准所开展项目结果的重复性试验也和上面例子类似,需要先扰乱原先的状态,比如用多功能校准源校准数字多用表,重复性试验过程中读取1次数据后,需要将连接线拆下,关闭多功能校准源与数字多用表,然后再将连接线接上,开启多功能校准源与数字多用表进行下一次重复性试验读数。
1.2.4重复性试验的数据处理
从1.2.2重复性试验操作过程中我们获取了两组数据
那么如何计算呢?在笔者计量管理过程中看到两种计算方式。
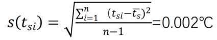
第一种数据处理方式为:分别计算二等标准铂电阻温度计的重复性与数字温度计的重复性。二等标准铂电阻温度计的重复性试验结果计算结果如下:
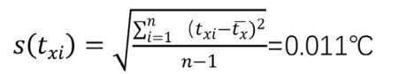
数字温度计的重复性试验结果计算结果如下:
得到的两个重复性试验结果数据有两种处理方式,第一种为将上述结果分别引入计量标准与被校计量器具的不确定度分量中,第二种为将两种结果进行合成。
第二种数据处理的方式是先求出示值误差,再计算示值误差的重复性试验结果,计算每次的示值误差如下:
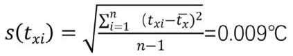
示值误差的重复性试验结果计算结果如下:
对比两种数据处理方式,可以发现第二种数据处理方式才是测量结果的重复性试验结果,第一种并不是测量结果的重复性试验,并且可以发现两种数据处理方式的结果并不相同,通常情况下第一种处理方式的数据大于第二种数据处理方式。
因此,鉴于以上分析可知,重复性数据处理结果应以第二种处理方式为好。
1.2.5重复性试验结果的判定
重复性试验结果的判定是将重复性试验结果作为检定或校准结果的测量不确定度评定分量代入测量不确定度评定当中,最终检定或校准结果的测量不确定度满足要求,那么重复性试验结果也满足要求。
不管是计量标准的建立时重复性试验结果的判定还是后续计量标准维护过程中重复性试验结果的判定都是按上面的原则判定。但在JJF1033-2023《计量标准考核规范》中,是按如下步骤操作的:
a)建立计量标准时进行重复性试验,获得重复性试验结果s0,根据检定或校准结果的测量不确定度评定结果判定重复性试验是否满足要求;
b)后续每一年度至少进行1次重复性试验,每次获得重复性试验结果为si,,如果si小于等于s0,直接判断重复性试验结果满足要求;如果si大于s0,重新评定检定或校准结果的测量不确定度,如果满足要求,则重复性试验结果符合要求,并且在技术报告中进行记录和说明,同时将si赋值给s0。
笔者在实际计量标准管理过程中发现,有的技术报告中检定或校准结果的重复性试验是用A点(如50℃点),而测量不确定度评定中是用B点(如100℃点)重复性试验结果,显然这个时候的结果只能证明B点的重复性试验结果满足要求,不能证明A点重复性试验结果满足要求。除非可以证明A点测量结果不确定度也满足要求。因此,如果采用此种方式,建议不仅要评定B点的测量不确定度,还要评定A点的测量不确定度,最好的方式是评定上限点、中间点、下限点和那些重复性试验结果较大的点的测量不确定度。显然,这种方式时有理由相信重复性试验结果在各点都满足要求。
从前面的论述可知,判断某点重复性试验结果是否符合要求是通过该点测量不确定度评定是否满足要求来确定的。一般情况下,测量结果的重复性试验结果引入的测量不确定度的分量之一,而分辨力也是测量不确定度分量之一,并且测量结果的重复性试验结果与分辨力引入的不确定度分量两者重复,取其中的大者。
因此:
a)如果测量不确定度评定中分辨力引入的不确定度分量小于测量重复性引入的不确定度分量,那么按上述常规的判定方法进行判定即可。
b)如果测量不确定度评定中分辨力引入的不确定度分量大于测量重复性引入的不确定度分量,忽略掉其中小者,既忽略掉重复性引入的不确定度分量。这种情况下,判断重复性试验结果也可以通过直接判断是否小于分辨力引入的不确定度分量大小,这种操作有一点要注意:重复性引入的不确定度分量不一定是等于重复性试验结果中的值,因为测量结果可能是n次测量值取平均值,那么重复性引入的不确定度分量,这个时候只要小于等于分辨力引入的不确定度分量。变换后可得:
式中:
n——测量次数;
δ——分辨力。
满足上式时,重复性试验结果满足要求,对于某台设备来说分辨力δ是确定的,测量次数n也是确定的,并且δ是常数,n也是常数,那么也是一个常数,假设该常数为k,显然常数k与测量点也没关系,此时,判断重复性试验结果可以简化,只要重复性试验结果s小于等于k,那么就可以判定s满足要求。当然s大于k的时候不能直接判定重复性试验结果不符合要求,而是要去评定该点的测量不确定度是否满足要求,如果测量不确定度满足要求,那么重复性试验结果仍然满足要求。
结论:
重复性试验是计量标准能力的重要体现,在计量标准管理过程中有着重要的地位,能够规范地进行重复性试验、准确地处理重复性试验结果数据并准确判定是保证重复性试验的重要手段。
通过上面的分析可知:
1.要选择合适的重复性试验对象,重复性试验对象虽然是常规对象,但也要选择质量可靠、稳定的常规对象;计量标准对同一项目可检定或校准不同准确度等级的,选择该项目准确度等级最高的常规对象。
2.重复性试验过程测量点选择上限点、下限点、中间点,如果两点之间的重复性试验结果相差较大,则从这两点间再选择1个点进行重复性试验,直至相邻两点重复性试验结果相差较小或已包含该范围内日常检定或校准过程中的测量点。
3.规范进行重复性试验操作的关键是一定要重复进行相同的操作程序,而不仅仅进行重复读数,重复进行相同的操作程序,是先扰乱原先的状态,重新接线、重新启动、等待稳定等重新建立稳定状态后再进行读数。
4.重复性试验结果数据处理时要注意重复性的是对测量结果如示值误差进行数据处理,一般情况下不是对标准器的示值与被检定或校准的示值进行重复性数据计算。
5.对于重复性试验引入的不确定度分量小于分辨力引入的不确定度分量,并且两者重复的情况下,可以通过将重复性与常量k比较来判定重复性试验结果是否满足要求,在日常中可大大简体判定工作。
参考文献
[1]中国计量测试学会组编.一级注册计量师基础知识及专业实务(第5版)[M].北京.中国标准出版社,2022:13-14
[2]国家市场监督管理总局.计量标准考核规范:JJF 1033-2023[S].北京. 中国标准出版社2023
[3]国家质量监督检验检疫总局.通用计量术语及定义:JJF 1001-2011[S].北京. 中国标准出版社2011:15-16
作者简介:刘郁纪(1982.3)男,湖南邵阳,硕士研究生,工程师,主要从事计量、检测、体系审核、专利相关等工作








京公网安备 11011302003690号